
Сопротивление - это то, насколько материал пытается остановить протекать через него электрический ток.Когда электричество перемещается через проволоку или другой материал, оно на самом деле состоит из крошечных частиц, называемых электронами.Эти электроны сталкиваются с атомами и другими небольшими частями внутри материала.Каждый раз, когда они сталкиваются с чем -то, они немного замедляются.Это замедление затрудняет электричество, чтобы продолжать двигаться.Некоторая энергия от движущихся электронов превращается в тепло.Вот почему провода могут согреться, когда электричество протекает через них.Символом сопротивления является r, и очень важно, чтобы электричество безопасно и правильно и правильно течет в цепи.
Некоторые материалы имеют низкое сопротивление, что означает, что электричество может легко проходить через них.Медь и серебро - два отличных примера.Вот почему мы используем их в проводах и электрических частях, они позволяют электричеством проходить без особых проблем.Другие материалы, такие как резиновая или стекло, имеют высокое сопротивление.Электричество трудно перемещаться по ним, поэтому они используются для остановки тока.Они называются изоляторами.Знание того, имеет ли материал с высоким или низким сопротивлением, помогает вам решить, как построить безопасные и полезные электрические системы.
Проводимость является противоположностью сопротивления.Он говорит нам, как легко электричество может протекать через материал.Если материал обладает высокой проводимостью, электричество движется через него быстро и без особого замедления.Проводимость показана буквой G, и это важная идея в электричестве, как и сопротивление.Металлы, такие как медь и алюминий, имеют высокую проводимость.Это означает, что их электроны могут свободно перемещаться, что делает их очень хорошими в ношении электрического тока.Из -за этого они часто используются в линиях электропередачи, проводах и электронных частях.Это также помогает им решать проблемы в цепях или планировать новые системы.Понимание того, насколько легко электричество проходит через материал, помогает убедиться, что все работает правильно и не тратит энергию.

Рисунок 2. Проводимость и сопротивление в электрических цепях
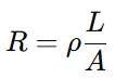
Сопротивление - это способ измерить, сколько материала замедляет электрический ток.Есть две основные формулы, чтобы найти сопротивление, и каждый из них полезен в разных ситуациях.

В этой формуле R означает сопротивление, ρ (греческая буква «roh») является удельным сопротивлением материала, L-длина провода, а a-толщина провода или площадь поперечного сечения.Материалы с более высоким удельным сопротивлением замедляют ток больше.Кроме того, если проволока длиннее, он дает больше сопротивления, потому что ток должен двигаться дальше.Более тонкий провод также затрудняет пройти через ток.Таким образом, длинная и тощая провода имеет больше сопротивления, чем короткая и толстая, сделанная из одного и того же материала.Эта формула часто используется при разработке электрических систем или выборе правильного вида провода.

Это еще один способ вычисления сопротивления, используя вещи, которые вы можете измерить: напряжение (V) и ток (i).Это правило называется законом Ома.Если вы знаете, сколько напряжения находится на устройстве и сколько тока проходит через него, вы можете разделить напряжение на ток, чтобы найти сопротивление.Это очень полезно, если вы не знаете свойства материала, но можете простые измерения с помощью инструмента, такого как мультиметр.Имейте в виду, что сопротивление может измениться, если температура изменится.Например, некоторые материалы больше сопротивляются электричеству, когда им становится жарко.
Проводимость говорит нам противоположность сопротивлению, это показывает, насколько легко электричество может что -то протекать.Чем выше проводимость, тем легче поток.

В этой формуле G является проводимостью, а R - сопротивление.Это простое правило: если сопротивление высокое, проводимость низкая, а если сопротивление низкое, проводимость высока.Проводимость полезна при работе с цепями, в которых есть много путей для перемещения текущего (они называются параллельными цепями).В этих случаях легче добавить проводимость каждой части, а не сопротивление.Это делает проблемы быстрее и помогает при строительстве или исправлении цепей.
В электрической цепи резисторы - это детали, которые замедляют поток электричества.То, как эти резисторы подключены, имеет большое значение в том, как электричество движется через цепь.В параллельной цепи резисторы соединены рядом.Это означает, что у каждого резистора есть свой путь, чтобы электричество проходило через.Когда вы добавляете больше резисторов в такую схему, происходит что -то интересное: общее сопротивление на самом деле становится меньше, а не больше.Подумайте об этом, как добавление большего количества полос движения на дорогу.С большим количеством полос движения трафик может двигаться легче.Точно так же добавление большего количества резисторов параллельно дает электричеством больше путей, поэтому оно течет легче и встречается с меньшим сопротивлением.
Мы можем найти общее сопротивление в параллельной цепи, используя эту формулу:

Это просто означает: добавьте «конверты» (или 1, разделенные на каждый резистор), а затем возьмите обратное, чтобы получить полное сопротивление.Результат всегда меньше, чем самый маленький резистор в группе.Это очень полезно, когда мы хотим, чтобы электричество легко перемещалось, как в энергетических системах, домашней проводке или быстрых электронных устройствах.Меньшее сопротивление означает, что меньше энергии теряется.

Рисунок 3. Параллельная цепь с четырьмя резисторами
Диаграмма показывает параллельную цепь с четырьмя резисторами, названные R1, R2, R3 и R4.Вы можете видеть, что каждый резистор подключен между одними и теми же двумя проводами, один сверху и один сверху.Это означает, что электричество может пройти через любой резистор без необходимости проходить через других.Волновые апельсиновые линии - это резисторы, а черные линии - это провода, которые носят электричество.На левой стороне изображения он напоминает нам, что общее сопротивление меньше любого из отдельных резисторов в цепи.Это одна из ключевых представлений о том, как работают параллельные цепи.
В электрических цепях резисторы могут быть расположены в различных конфигурациях, одним из наиболее распространенных является последовательное соединение.В последовательной схеме резисторы подключены сквозным, так что существует только один путь для течения.Это означает, что электрический ток, который оставляет источник питания, должен проходить через каждый резистор последовательно, прежде чем вернуться к источнику.Общее сопротивление в последовательной схеме рассчитывается путем объединения индивидуальных сопротивлений всех резисторов в петле.Это выражено с формулой:

Этот принцип показывает, что по мере того, как больше резисторов добавляется последовательно, общее сопротивление увеличивается.Более высокое общее сопротивление приводит к тому, что более низкий ток протекает через схему, согласно закону Ом (V = IR).Такое поведение полезно в цепях делителя напряжения, которые требуют определенных падений напряжения в разных компонентах.

Рисунок 4. Цепь серии резисторов
На диаграмме выше показана простая последовательная схема, состоящая из 9-вольтовой батареи и трех резисторов, помеченных R1, R2 и R3.Резисторы не показаны индивидуально, но в совокупности представлены между точками 2 и 3, с полным эквивалентным сопротивлением 18 кОм.Аккумулятор соединен между точками 1 и 4, с положительным терминалом в точке 1 и отрицательным терминалом в точке 4, устанавливая направление потока тока по часовой стрелке через цепь.
Ток в этой цепи вытекает из положительного терминала аккумулятора (точка 1) через резисторы, подключенные к ряду (от точки 2 до точки 3) и, наконец, обратно к отрицательному клемму аккумулятора (точка 4).Поскольку все резисторы последовательны, одинаковое количество тока проходит через каждый резистор.Падение напряжения по всей сети резисторов равно напряжению батареи, которое составляет 9 В.
В электрических цепях проводимость (обозначенная G) является мерой того, насколько легко электричество может протекать через компонент.Это взаимное сопротивление (g = 1/r), что означает, что более высокая проводимость подразумевает более низкое сопротивление и более легкий поток тока.Когда несколько проводящих элементов (такие как резисторы или проводящие пути) расположены параллельно, их индивидуальные проводимости объединяются для определения общей проводимости схемы.В конфигурации параллельной схемы каждый путь позволяет току течь независимо от других.По мере того, как добавляется больше ветвей, каждая из которых имеет собственную проводимость, общая способность цепи провести электроэнергию увеличивается.Это связано с тем, что каждый дополнительный путь обеспечивает альтернативный путь для тока, эффективно снижая общее противодействие потоку тока.
Формула для общей проводимости в параллельной конфигурации:

Эта связь линейна, что означает, что если вы удваиваете количество идентичных ветвей, вы удваиваете общую проводимость.Это в отличие от сопротивления параллельно, что добавляет взаимных.

Рисунок 5. Общая проводимость в параллельной цепи
Диаграмма визуально иллюстрирует параллельную цепь, содержащую четыре проводящие ветви, помеченные G₁, G₂, G₃ и G₄.Каждая ветвь состоит из одного резистороподобного символа, представляющего проводимость.Эти ветви расположены вертикально, бок о бок, и все соединены сверху и снизу с общими горизонтальными проводниками.Эта структура образует классический параллельный макет, где напряжение по каждой ветви одинаково, но ток делится в соответствии с проводимостью каждого пути.Слева от диаграммы показано уравнение общей проводимости:

Стрелки из уравнения точки непосредственно к соответствующим проводникам, усиливая идею о том, что каждая проводимость вносит административную способность к общей проводимости.Этот принцип параллельной проводимости важен при проектировании эффективных электрических сетей, особенно в приложениях, требующих низкого сопротивления и высокой мощности.Например, в системах обработки сигналов поддержание низкого сопротивления обеспечивает минимальную потерю сигнала.В линиях передачи данных улучшенная проводимость помогает поддерживать целостность сигнала на больших расстояниях.
Проводимость в последовательных цепях работает в соответствии с принципом, что проводимость является взаимной сопротивлением.В любой электрической цепи, когда резисторы подключены последовательно, их индивидуальные сопротивления складываются, тем самым увеличивая общее сопротивление цепи.В результате общая проводимость системы уменьшается.Эта связь может быть математически выражена следующей формулой:

В этой формуле GTOTAL представляет общую проводимость серии схемы, а R1, R2, R3,…, RN - это отдельные сопротивления каждого резистора в серии.Поскольку сопротивление увеличивается, когда больше резисторов добавляется последовательно, знаменатель становится больше, что, в свою очередь, приводит к уменьшению общей проводимости.Эта характеристика последовательных схем делает их полезными в приложениях, где необходимо точное управление током.Например, они часто используются в электронных фильтрах, измерительных приборах и системах контроля.Тщательно выбирая значения резистора, вы можете манипулировать тем, сколько тока разрешено проходить через цепь с высокой точностью.

Рисунок 6. Проводимость последовательно
Рисунок 6 Визуально представляет простую электрическую цепь, в которой три резистора, помеченные R1, R2, R3, подключены последовательно.Эти резисторы выровнены сквозными на одну петлю, которая питается источником напряжения, который показан в нижнем центре диаграммы со стандартным символом батареи, указывающим полярность (положительные и отрицательные клеммы).Общее сопротивление этого последовательного соединения обозначается как RT, а ток течет по часовой стрелке через цепь, как указано стрелками.
Эта диаграмма помогает проиллюстрировать концепцию серии сопротивления и ее влияния на проводимость.Каждый резистор добавляет к общему сопротивлению, и, следовательно, общую проводимость, представленную GTOTAL и рассчитывается как взаимная сумма.Изображение эффективно подтверждает объяснение того, как добавление большего количества резисторов в серии влияет на поток тока и проводимость в цепи.
Несколько факторов влияют на то, насколько хорошо материал сопротивляется или проводит электрический ток.К ним относятся:
Различные материалы имеют разные врожденные электрические свойства.Проводники, такие как медь, серебро и алюминий, позволяют электронам свободно перемещаться из -за обилия свободных электронов в их атомной структуре.Напротив, изоляторы, такие как резина, стекло или пластик, имеют плотно связанные электроны, которые не двигаются легко, что приводит к высокой сопротивлении.Полупроводники падают между проводностью, которая может контролироваться или модифицировать.Атомное расположение и мобильность электронов материала в значительной степени определяют его базовую проводимость или сопротивление.
По мере повышения температуры сопротивление большинства проводящих материалов (особенно металлов) также увеличивается.Это связано с тем, что атомы внутри проводника вибрируют более энергично при более высоких температурах, что вызывает более частые столкновения с движущимися электронами, препятствуя их потоку.Однако у полупроводников и некоторых изоляторов более высокие температуры могут повысить проводимость, освобождая больше носителей заряда, что делает взаимосвязь между температурой и сопротивлением в зависимости от типа материала.
Физический размер и форма материала сильно влияют на его сопротивление.Более длительный проводник предоставляет электроны больше возможностей для столкновения с атомами, увеличивая сопротивление.И наоборот, более толстый (более широкая площадь поперечного сечения) проводник позволяет большему количеству электронов проходить одновременно, снижая сопротивление.
Примеси в материале могут нарушить поток электронов.Иностранные атомы или структурные дефекты создают центры рассеяния, которые препятствуют или отклоняют движущиеся электроны, увеличивая сопротивление.В высокочищенных металлах или полупроводниках электронный поток намного более плавный, что приводит к лучшей проводимости.В чувствительных электронных применениях материалы часто уточняются до высокой чистоты, чтобы минимизировать нежелательное сопротивление.
В схемах переменного тока (AC) сопротивление и проводимость влияет не только материал и форму, но и электромагнитными свойствами.Высокочастотный переменный ток может вызвать «эффект кожи», где ток имеет тенденцию течь вблизи поверхности проводника, эффективно уменьшая площадь поперечного сечения и увеличивающееся сопротивление.Внешние магнитные поля также могут влиять на электронные пути посредством электромагнитной индукции, потенциально добавляя сопротивление или изменение направления тока.Эти эффекты важны в электротехниках и высокочастотных системах, таких как радиопередача.
Сопротивление и проводимость помогают нам понять, как электричество движется через разные материалы.Сопротивление показывает, насколько сложно течь электричество, а проводимость показывает, насколько это легко.Это руководство показало вам простые способы измерения их, объяснил, какие единицы мы используем, и привлекли примеры того, как они работают в разных настройках схемы.Он также объяснил, как такие вещи, как материал, размер и тепло, могут изменить то, как течет электричество.Зная все это, вы можете строить лучшие схемы, легче устранять проблемы и выбрать правильные части для работы.Независимо от того, работаете ли вы над школьным проектом или ремонтируете электронику, знание о сопротивлении и проводимости делает все проще и безопаснее.
Пожалуйста, отправьте запрос, мы ответим немедленно.
Сопротивление и проводник связаны с тем, как легко движется электричество.Проводник - это материал, который позволяет электроэнергию легко проходить через него, что означает, что он имеет низкое сопротивление.Так что, когда что -то является хорошим дирижером, оно, естественно, решает электричество меньше.Например, медь является хорошим дирижером, потому что он обеспечивает незначительное сопротивление току.Чем лучше проводник, тем ниже его сопротивление.
Нет, сопротивление не является прямо пропорционально проводнику.На самом деле, они обратно связаны.Если материал является лучшим дирижером, он имеет меньшее сопротивление.Таким образом, по мере увеличения проводимости сопротивление снижается.Вот почему проводимость определяется как взаимное сопротивление: G = 1 / R. больше проводимости означает легкий поток тока, что означает меньшее сопротивление, а не больше.
Нет, высокое сопротивление означает низкую проводимость.Проводимость - это мера того, насколько легко электричество протекает через материал.Если сопротивление высокое, электричество трудно протекать, поэтому проводимость низкая.Они противоположности.Материалы с высоким сопротивлением, такие как резина или стекло, называются изоляторами, поскольку они блокируют электрический поток и имеют низкую проводимость.
Проводимость заключается в том, как легко протекает электричество через определенный объект или часть, например, проволоку или резистор.Это зависит от материала объекта, размера и формы.Проводимость заключается в том, насколько легко электричество протекает через сам материал, независимо от его размера.Это свойство материала, как медь или резина.
Да, проводимость - это взаимная (или обратная) сопротивление.Это означает, что если вы знаете сопротивление, вы можете найти проводимость, разделяя 1 на это число: g = 1 / r. Таким образом, если резистор имеет сопротивление 10 Ом, его проводимость составляет 0,1 Siemens.Это соотношение показывает, что чем проще для тока пройти (высокая проводимость), тем меньше материал противостоит ему (низкое сопротивление) и наоборот.
на 2025/05/1
на 2025/04/30
на 8000/04/24 147827
на 2000/04/24 116851
на 1600/04/24 111382
на 0400/04/24 85355
на 1970/01/1 82149
на 1970/01/1 67775
на 1970/01/1 64267
на 1970/01/1 63530
на 1970/01/1 54310
на 1970/01/1 52550