Посмотреть все

Пожалуйста, обратитесь к английской версии как к официальной версии.Возврат

Европа
France(Français) Germany(Deutsch) Italy(Italia) Russian(русский) Poland(polski) Czech(Čeština) Luxembourg(Lëtzebuergesch) Netherlands(Nederland) Iceland(íslenska) Hungarian(Magyarország) Spain(español) Portugal(Português) Turkey(Türk dili) Bulgaria(Български език) Ukraine(Україна) Greece(Ελλάδα) Israel(עִבְרִית) Sweden(Svenska) Finland(Svenska) Finland(Suomi) Romania(românesc) Moldova(românesc) Slovakia(Slovenská) Denmark(Dansk) Slovenia(Slovenija) Slovenia(Hrvatska) Croatia(Hrvatska) Serbia(Hrvatska) Montenegro(Hrvatska) Bosnia and Herzegovina(Hrvatska) Lithuania(lietuvių) Spain(Português) Switzerland(Deutsch) United Kingdom(English)
Азия/Тихоокеан
Japan(日本語) Korea(한국의) Thailand(ภาษาไทย) Malaysia(Melayu) Singapore(Melayu) Vietnam(Tiếng Việt) Philippines(Pilipino)
Африка, Индия и Ближний Восток
United Arab Emirates(العربية) Iran(فارسی) Tajikistan(فارسی) India(हिंदी) Madagascar(malaɡasʲ)
Южная Америка / Океания
New Zealand(Maori) Brazil(Português) Angola(Português) Mozambique(Português)
Северная Америка
United States(English) Canada(English) Haiti(Ayiti) Mexico(español)
ГлавнаяБлогРуководство по знаниям SR Flip Fl
на 2024/04/27 21,078

Руководство по знаниям SR Flip Fl

Шрег-флоп-это просто термин, который относится к цифровому электронному устройству, которое представляет собой электронный компонент, используемый для хранения одного бита информации.

SR Flip-Flop (Flip-Flop Set-Reset) является основным компонентом цифровых электронных схем, используемых для хранения и манипулирования данных.Он работает последовательным образом.Шлетники SR могут быть построены с использованием защелков SR.Защелка - это цифровая электронная схема, которая принимает простую форму элемента хранения, способная хранить один бина двоичной информации (0 или 1).В этой статье мы обсудим шлепанцы SR, в том числе его принцип работы, таблицу истинности, преимущества, недостатки и различия от рупии.

SR Flip-Flop Knowledge

Каталог


1. Принцип работы с шлепанцем SR
2. Таблица истинности SR SHR Flip Flop
3. Характерная таблица
4. Преимущества SR Flip-Flop
5. Ограничения шлепанцев SR
6. Области применения
7. Различия между шлепанцами SR и RS

1. Принцип работы с шлепанцем SR


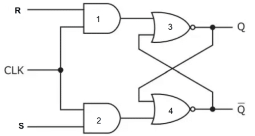
Самый простой шлепанц-флоп может быть построен с использованием двух двух входных или ворот, как показано на диаграмме:

Synchronized RS flip-flop on the I-NE element.

Обратите внимание, что способ связанных элементов гарантирует, что они всегда находятся в противоположных состояниях.Если выход первого элемента составляет 1, то выход второго элемента будет 0, и наоборот.

Для облегчения понимания, вот четыре сценария, которые могут происходить с шлепанцем SR:

Сценарий 1: S = 0, r = 0

Вывод GATE: Вывод GATE1 и GATE2 0. Состояние состояния: так как ворота 3 и 4 являются ни воротами, с одним входом при 0, их выходы зависят от второго входа.Таким образом, Gate3/Q (n+1) сохраняет предыдущее состояние Q, а Gate4/Q (n+1) 'сохраняет дополнительное состояние Q'.

Сценарий 2: S = 0, r = 1

Выход GATE: GATE1 Выходы 1 (поскольку R высокий), выходы GATE2 0. Сброс работы: для Gate3 один вход высокий (от Gate1), что приводит к выходу 0 через операцию NOR, таким образом сбросив состояние.Однако один вход в Gate4 остается низким, выводя 1, что указывает на дополнительное состояние.

Сценарий 3: S = 1, r = 0

Вывод GATE: GATE1 Выходы 0, GATE2 Выходы 1 (так как S высок).Установите работу: в настоящее время выходы Gate3 1 (другой вход от Gate1 низкий), устанавливая триггер.И наоборот, из -за высокого ввода от Gate2 выходы Gate4 0, подтверждая дополнительное состояние.

Сценарий 4: S = 1, r = 1

Выход затвора: с высоким входом, оба вывода Gates 1. Неверное состояние: когда оба входа высоки, ворота 3 и 4 оба вывода 0, что приводит к конфликту, потому что Q (n+1) и Q (n+1) должныБудьте дополнительными результатами, но это не так, что приводит к недействительным.

2. Таблица истинности SR SHR Flip Flop


С
р
Q (N+1)
Состояние
0
0
QN
Без изменений
0
1
0
ПЕРЕЗАГРУЗИТЬ
1
0
1
НАБОР
1
1
Икс
НЕВЕРНЫЙ


Мы будем использовать эту таблицу истинности, чтобы написать характерную таблицу для шлепанца SR.В таблице истины вы можете увидеть два входа, S и R и один вывод, Q (n+1).Однако в характерной таблице вы увидите три входа, S, R и QN и один вывод, Q (n+1).

Из логической диаграммы ясно, что QN и QN 'являются двумя дополнительными выходами, также выступающими в качестве входных данных для ворот 3 и 4, поэтому мы рассматриваем QN, текущее состояние шлепанца, как вход и Q (n+1), следующее состояние, как выход.

После написания характерной таблицы мы нарисуем 3-переменную K-Map, чтобы получить характерное уравнение.

3. Характерная таблица


С
р
QN
Q (N+1)
0
0
0
0
0
0
1
1
0
1
0
0
0
1
1
0
1
0
0
1
1
0
1
1
1
1
0
Икс
1
1
1
Икс
SR Trigger K-Map


Из K-карты вы получаете две пары.После решения оба мы получаем следующее характерное уравнение:

Q (n + 1) = S + r'QN

4. Преимущества SR Flip-Flop


Использование SR Flip-Flops имеет несколько преимуществ.Ниже приведены некоторые из них:

    • Простота: дизайн шлепанцев SR относительно проста, состоящий только из нескольких ворот.Они могут быть легко интегрированы в более крупные схемы, не усложняя общую конструкцию.
    • Скорость: шлепанцы SR работают на высокой скорости.Они могут быстро переключаться между состояниями установки и сброса без задержки, гарантируя, что цифровые системы могут выполнять задачи более эффективно, тем самым повышая производительность технологий, которые зависят от быстрой обработки данных.
    • Низкое энергопотребление: шлепанцы SR потребляют очень мало мощности, что делает их идеальными для использования в устройствах с батарейным батарейным батарейным батарейным батарейным батарейным батарейным батарейным батарейным батарейным батарейным аккумулем, таких как мобильные телефоны и портативные вычислительные устройства, а также означает более низкие эксплуатационные затраты с точки зрения использования энергии.
    • Бистабильная операция: шлепанцы SR могут бесконечно поддерживать состояние (установить или сбросить) до тех пор, пока входной сигнал не приведет к изменению, а возможность поддерживать стабильное состояние без постоянного ввода делает шлепанцы SR полезным для различных приложений.

5. Ограничения шлепанцев SR


Несмотря на несколько преимуществ, шлепанцы SR также имеют некоторые ограничения.Ниже приведены некоторые из них:

    • Условия гонки: SR шлепанцы подвержены условиям раса, когда выходное состояние может измениться непредсказуемо из-за изменений во времени входных сигналов, что может привести к ошибкам или неожиданным результатам.
    • Недопустимое состояние: неотъемлемым ограничением шлепанцев SR является их поведение, когда входные данные как набора, так и сброса (R) активны одновременно.В этом случае триггер входит в неверное состояние, что часто приводит к тому, что оба результата будут высокими или низкими, что нарушает основной принцип работы бистабильного устройства.Это неверное состояние может нарушить нормальную функцию цифровых цепей, что приводит к непредсказуемому поведению системы и потенциальной потере данных.
    • Ограниченная масштабируемость: шлепанцы SR могут быть трудно масштабировать для более сложных цифровых систем, поскольку сложность системы увеличивается, вероятность введения ошибок из-за основной природы шлепанцев SR также увеличивается.

6. Области применения


    • Системы управления: в системах управления, шлепанцы SR могут достигать плавных переходов между сигналами, что минимизирует риски аварии и улучшая транспортный поток.Общее приложение находится в системах управления светом светофора, где шлепанцы SR помогают управлять последовательности светофоров, обеспечивая точное и упорядоченное изменение сигналов, тем самым безопасно и эффективно управлять потоком трафика.
    • Хранение памяти: шлепанцы SR также являются фундаментальными компонентами устройств хранения памяти, таких как регистры.Они используются для временного хранения данных в вычислительных устройствах, начиная от микропроцессоров до цифровых сигнальных процессоров, что позволяет быстро получить доступ и манипулирование данными во время обработки задач.
    • Цифровые счетчики: шлепанцы SR используются в цифровых счетчиках для подсчета операций, что позволяет увеличить или уменьшать на основе входных сигналов.
    • Синхронизация данных: SR-шлепанцы имеют решающее значение для синхронизации сигналов данных между двумя цифровыми цепями, обеспечивая одновременную работу в рамках одного и того же тактового цикла, что очень полезно для поддержания надежности сетей связи.
    • Осцилляторы: в сочетании с другими компонентами шлепанцы SR могут образовывать простые генераторы, которые дают периодические сигналы.Это особенно полезно в таких приложениях, как схемы тактовых цепей и генераторы аудиосигналов, где необходима последовательная и стабильная генерация сигналов.

7. Различия между шлепанцами SR и RS


Особенность
SR Flip-Flop
RS Flip-Flop
S = 0 , R = 0
Q состояние (без изменений) поддерживается.
Q состояние (без изменений) поддерживается.
S = 0 , R = 1
Сбросить (q = 0)
Сбросить (q = 0)
S = 1 , r = 0

SET (Q = 1)

SET (Q = 1)
S = 1 , R = 1
SET (доминант) (Q = 1)
Сброс (доминант) (Q = 0)
Преимущества:
Когда S и R оба 1, установка имеет приоритет.
Когда S и R оба 1, операция сброса имеет приоритет.



О нас

ALLELCO LIMITED

Allelco является всемирно известным универсальным Дистрибьютор услуг закупок гибридных электронных компонентов, приверженных предоставлению комплексных компонентов закупок и цепочек поставок для глобальной электронного производства и распределения, в том числе глобальные 500 лучших OEM -фабрики и независимые брокеры.
Прочитайте больше

Быстрое запрос

Пожалуйста, отправьте запрос, мы ответим немедленно.

Количество

Популярные посты

Горячий номер детали

0 RFQ
Корзина (0 Items)
Это пусто.
Сравните список (0 Items)
Это пусто.
Обратная связь

Ваш отзыв имеет значение!В Allelco мы ценим пользовательский опыт и стремимся постоянно улучшать его.
, пожалуйста, поделитесь своими комментариями с нами через нашу форму обратной связи, и мы ответим быстро.
Спасибо за выбор Allelco.

Предмет
Эл. почта
Примечание
Код проверки
Перетаскивать или нажмите, чтобы загрузить файл
Загрузить файл
Типы: .xls, .xlsx, .doc, .docx, .jpg, .png и .pdf.
Макс. Размер файла: 10 МБ