
А Реактор для подключения потока (PFR), также известный как реактор поршневого потока, является важным инструментом в химической технике, используемом для изучения того, как химические реакции происходят внутри длинной трубки.В этом типе реактора жидкости перекачиваются на одном конце и постоянно перемещаются через трубку на другой конец с постоянной скоростью.Поток гладкий и ровный, без кружащегося или смешивания по пути.Это означает, что жидкости перемещаются в отдельных слоях или пробках, сохраняя различные этапы реакции.Другими словами, жидкости, которые входят в трубку ранее, всегда впереди жидкости, которые входят позже, и они не смешиваются друг с другом по мере продвижения.Это помогает контролировать химическую реакцию, потому что реагенты поддерживаются в порядке, позволяя каждой части реакции происходить шаг за шагом, когда жидкости текут через трубку.
Уникальный способ движения жидкости в PFR, имеет некоторые важные преимущества для химических реакций.Поскольку нет смешивания назад, каждый слой жидкости тратит столько же времени в реакторе, что приводит к последовательному процессу реакции.Это облегчает предсказание того, сколько продукта будет сделано, потому что время реакции одинаково для каждой части жидкости.Вы можете отрегулировать длину и ширину трубки, скорость потока и температуру для контроля реакции и получить наилучшие результаты.Реакторы потока подключения особенно полезны для реакций, которые нуждаются в высоких температурах или включают газы, потому что устойчивый поток хранит реакцию под контролем.Они обычно используются в таких отраслях, как переработка нефти, создание пластмассы и обработка отходов.Этот дизайн также хорош для крупномасштабного производства, потому что легче предсказать и контролировать, что происходит внутри реактора.
Реакторы потока подключения (PFR) характеризуются их однонаправленным потоком, где реагенты и продукты перемещаются исключительно в прямом направлении вдоль длины реактора.Этот обтекаемый рисунок потока достигается путем разработки реактора в качестве трубчатого канала, который сводит к минимуму любые обратные элементы жидкости.В PFR элементы жидкости, часто называемые пробками, сохраняют свою идентичность по мере продвижения через реактор, что означает, что между соседними заглушками наблюдается минимальная диффузия.Это упорядоченное движение важно для достижения точного контроля над кинетикой реакции, поскольку каждая заглушка испытывает уникальный и предсказуемый набор условий реакции, когда он движется через реактор.Реагенты на входе сталкиваются с самыми высокими концентрациями и самой свежей химической средой, которая может быть стратегически использована для повышения скорости реакции.

Рисунок 2. Репрезентация направленного потока подключения потока (PFR)
По мере продвижения заглушек концентрации реагента уменьшаются, когда концентрации продукта увеличиваются, после последовательного процесса преобразования по длине реактора.Это систематическое прогрессирование выгодно для реакций, требующих строгого стехиометрического контроля или тех, кто чувствителен к колебаниям концентрации.Предотвращая рециркуляцию и поддержание постоянного направленного потока, PFR снижают риск побочных реакций, которые могут возникнуть, если реагенты и продукты должны были смешивать или переработать.Это делает PFR идеальными для таких процессов, как полимеризация, сжигание или сложные химические синтезы.Предсказуемая паттерн потока повышает точность моделирования и масштабирования реакции, что делает PFR очень ценными как в исследованиях, так и в промышленных приложениях.
Определяющей характеристикой реакторов потока подключения является развитие градиента концентрации по длине реактора.На входе реагенты вводятся в их самых высоких концентрациях, создавая движущую силу для реализации.По мере развития реакции концентрации реагента неуклонно уменьшаются, в то время как концентрации продукта одновременно увеличиваются.Это приводит к четко определенному градиенту концентрации, который развивается предсказуемо от входа до выходов реактора.Этот градиент самый крутой вблизи входа, где концентрации реагента находятся на пике, а скорость реакции является самой высокой из -за обилия реагентов.Когда реагенты потребляются, градиент постепенно выравнивается, отражая сниженную скорость реакции, когда система приближается к равновесию.
Отсутствие смешивания обратной связи в PFR гарантирует, что каждая заглушка испытывает уникальную концентрационную среду, способствуя эффективному и последовательному преобразованию реагента.Градиент концентрации является выгодным для реакций с кинетикой, зависящей от концентрации, где скорость реакции является функцией концентрации реагента.В таких случаях высокая концентрация реагента на входе максимизирует начальную скорость реакции, что приводит к эффективному использованию реагентов.Это прогрессирующее потребление реагентов сводит к минимуму риск нежелательных побочных реакций, которые могут возникнуть в промежуточных концентрациях.Для процессов, связанных с конкурентными реакциями, градиент концентрации может быть управляется, чтобы поддержать желаемый путь продукта.Это делает PFR высокоэффективными для сложных процессов синтеза, таких как в фармацевтической или тонкой химической промышленности, где селективность продукта и оптимизация доходности.
Одним из наиболее преимуществ реакторов потока плавки является равномерное распределение времени пребывания.В PFR каждая пробка реагента тратит столько же времени, путешествуя по реактору, от входа до розетки.Это равномерное время пребывания гарантирует, что все молекулы реагента подвергаются идентичным условиям реакции, включая профили температуры, давления и концентрации.Эта согласованность достигается, потому что заглушки перемещаются через реактор упорядоченным, последовательным образом без какого-либо смешения или радиальной дисперсии.Следовательно, не существует изменений во временных реагентах, проведенных внутри реактора, что резко контрастирует с непрерывными реакторами танца (CSTR), где реагенты могут иметь широко изменяющееся время пребывания из-за тщательного смешивания.
Единое время пребывания хорошо подходит для поддержания постоянного качества продукции, особенно в сложных химических процессах.Например, в реакциях полимеризации постоянное время пребывания обеспечивает однородную длину полимерной цепи и распределение молекулярной массы, что приводит к превосходной производительности продукта.В фармацевтическом синтезе он гарантирует последовательную химическую чистоту и эффективность для соответствия регулирующим органам и эффективности продукта.Предсказуемое распределение времени пребывания упрощает кинетическое моделирование и масштаб, что позволяет точно моделировать поведение реакции в промышленном масштабе.Эта предсказуемость повышает управление процессами и оптимизацию, что приводит к повышению производительности и эффективности затрат.
Реакторы потока штепсельной штекеры известны своей высокой эффективностью преобразования на единицу объема, что превосходит эффективность непрерывных реакторов с перемешиванием (CSTRS).В PFR реагенты непрерывно потребляются по мере продвижения через реактор, следуя линейному и прогрессирующему пути реакции.Это последовательное потребление сводит к минимуму концентрацию непрореагировавших видов в любой точке вдоль длины реактора, что приводит к более высокой общей скорости конверсии.Отсутствие обратного смешения позволяет реагентам подвергаться воздействию оптимальных условий реакции на протяжении всего их путешествия, максимизируя скорость реакции и сводя к минимуму образование нежелательных побочных продуктов.Это выгодно для быстрых или очень экзотермических реакций, которые требуют быстрого истощения реагента для поддержания безопасности и целостности продукта.
В таких случаях дизайн потока штепсельной штепсы облегчает эффективное тепло управление путем предотвращения локализованных температурных пиков, которые могут привести к тепловому бегству или деградации продукта.Высокая эффективность конверсии PFR уменьшает необходимый объем реактора, что приводит к меньшим следам оборудования и снижению капитальных затрат.Эта эффективность также приводит к снижению эксплуатационных расходов, поскольку для достижения желаемого выхода продукта необходимо меньше энергии и меньшего числа сырья.Это делает PFR привлекательными для крупномасштабных промышленных применений, таких как нефтехимическая обработка, объемное химическое производство и системы лечения окружающей среды.
Реакторы потока подключаемого потока работают в условиях устойчивого состояния, поддерживая постоянные скорости потока, профили концентрации и распределение температуры по всему реактору.При стационарной работе показатели притока и оттока постоянны, обеспечивая непрерывный и непрерывный производственный процесс.Эта стабильность хороша для поддержания единого качества продукции, что важно в таких отраслях, как нефтехимическое рафинирование, производство полимеров и крупномасштабный химический синтез.Устойчивый характер PFR упрощает управление процессом и автоматизацию, поскольку рабочие параметры системы остаются постоянными с течением времени.
Эта предсказуемость повышает масштабируемость и надежность процесса, снижая сложность условий мониторинга и регулировки реакции.Кроме того, стационарная работа минимизирует колебания состава продукта, обеспечивая постоянную химическую чистоту и качество для высокоценных продуктов, таких как фармацевтические препараты и специальные химические вещества.Устойчивая работа также способствует энергоэффективности и оптимизации процессов, поскольку постоянные условия работы позволяют определять точный контроль тепловых и массопереносных процессов.Это делает PFR подходящими для приложений, требующих жесткого контроля над кинетикой реакции и селективности продукции, что еще больше способствует экономии затрат и устойчивости в химическом производстве.
Реакторы потока подключения предназначены для поддержки эффективной теплопередачи и управления температурами в экзотермических или эндотермических реакциях.Последовательный шаблон потока предотвращает смешение обратной связи, что позволяет точно контролировать температуру вдоль длины реактора.Это позволяет реализовать контролируемые градиенты температуры или использование теплообменников для оптимизации теплового управления.Эффективный теплообмен не только повышает энергоэффективность, но и повышает селективность продукта, что делает PFR идеальными для чувствительных к температуре реакций, например, в синтезе тонкого химического вещества или каталитических процессах.В очень экзотермических реакциях PFR помогают эффективно рассеять тепло, предотвращая термическую беглую и обеспечивая безопасную работу.И наоборот, в эндотермических реакциях они облегчают эффективное теплообъемку для поддержания скорости реакции и эффективности конверсии.
PFR являются универсальными и могут вместить газофазную, жидкую фазу и гетерогенные реакции, в том числе с участием катализаторов.Эта адаптивность позволяет их использовать в широком спектре химических процессов, таких как газофазная окисление, полимеризация жидкости и каталитическое гидрирование.Конструкция потока подключения максимизирует контакт катализатора реагента, повышение скорости реакций и эффективность катализатора для промышленного применения при нефтехимической обработке, производстве полимеров и катализе окружающей среды.
Реактор плавного потока (PFR) предназначен для эффективного и полезного при химической обработке.Обычно это выглядит как длинная узкая трубка или труба, которая позволяет химическим веществам постоянно течь с одного конца к другому.Внутри трубки нет инструментов для смешивания, таких как мешалки.Из -за этого химические вещества движутся плавно, как поршень, не смешивая вместе.Этот устойчивый поток помогает реакциям происходить равномерно и обеспечивает хороший контроль над тем, как быстро они происходят.Это делает PFR очень полезными на химических заводах и отраслях.

Рисунок 3. Схема реактора подключения потока
Диаграмма отображает реактор плавного потока (PFR), тип химического реактора, предназначенного для непрерывной химической обработки.В этой настройке реагенты входят в вход (x = 0) и постоянно перемещаются через цилиндрическую трубку к выходу (x = l).Поток в реакторе обтекается, поддерживая постоянный профиль скорости, где каждый элемент жидкости перемещается параллельно оси реактора без какого-либо смешения.Это расположение позволяет реагентам постепенно превращаться в продукты по мере их развития по длине реактора.Заштрихованный сегмент, отмеченный как 𝑑𝑥, представляет крошечный объемный элемент в реакторе.Этот дифференциальный срез необходим для моделирования химических реакций, происходящих внутри PFR, поскольку он помогает оценить изменения в скорости реакции и концентрации по мере продвижения реагентов.
Отсутствие радиального смешивания сохраняет условие потока заглушки, гарантируя, что каждый элемент жидкости сохраняет свою идентичность и состав на протяжении всего своего путешествия.В результате скорости концентрации и реакции варьируются по длине реактора, но остаются равномерными по любому поперечному сечению.Эта характеристика потока заглушки делает PFR подходящими для химических процессов, которые требуют точного контроля времени реакции и образования продукта.Поскольку все элементы жидкости имеют одинаковое время пребывания, реактор обеспечивает постоянное качество продукта и эффективное преобразование реагента.Из-за этих преимуществ PFR широко используются в химическом производстве, включая такие применения, как полимеризация, газофазные реакции и каталитические процессы.
Реактор с потоком заглушки (PFR) работает на уникальной схеме потока, который сохраняет условия реакции, согласованные на протяжении всей своей длины.Эта конструкция обеспечивает точный контроль над временем пребывания, температурой и давлением, делая PFR высокоэффективными для химических процессов, требующих точного управления реакцией.В этом разделе рассматриваются подробные операционные принципы PFR и их значение в промышленной химической обработке.
В реакторе проточного потока (PFR) жидкости движутся непрерывно и равномерно вдоль цилиндрической трубки или трубы, создавая высокоорганизованный шаблон потока.Реагенты вводятся на одном конце реактора и постоянно текут до другого конца, где они выходят в качестве продуктов.Этот дизайн обеспечивает бесшовную прогрессию с входа в розетку без какого -либо прерывания в движении жидкости.Архитектура реактора сохраняет постоянное направление потока, строго предотвращая любое обратное смешивание или рециркуляцию.Это однонаправленное движение важно для сохранения химической целостности реагентов и продуктов по мере их прохождения через реактор.Ключевой характеристикой этого схема потока является то, что каждый небольшой сегмент или заглушка жидкости сохраняет свою собственную уникальную химическую идентичность, когда он движется через реактор.Эти заглушки не смешиваются друг с другом в боковом направлении, гарантируя, что композиция в каждой вилке остается постоянной на протяжении всего своего путешествия.
Эта изоляция сегментов жидкости сохраняет градиенты концентрации для эффективных химических реакций.Отсутствие радиального смешивания также приводит к более предсказуемому профилю реакции, что позволяет точно моделировать и оптимизировать химические процессы.Упрощенная схема потока в PFR сводит к минимуму турбулентность и хаотическое движение, что помогает поддерживать целостность реактивных потоков.Этот упорядоченный поток поддерживает высокую эффективность преобразования, потому что реагенты постоянно испытывают те же условия реакции, что и через реактор.Отсутствие обратного смешения гарантирует, что время пребывания в каждой заглушке было идентично, что приводит к равномерному воздействию температуры и давления.Эта однородность повышает скорость реакции и повышает селективность продукта, что приводит к более контролируемому и эффективному химическому процессу.Из -за точного контроля над схемами потока и условий реакции PFR подходят для реакций, которые требуют постоянной среды для достижения высокой выходы и селективности.

Рисунок 4. Реактор потока подключения (PFR) непрерывный поток и реакция
Способность реактора поддерживать стационарную работу с минимальными колебаниями концентрации или температуры делает его идеальным выбором для химической и фармацевтической промышленности.В этих секторах важно поддерживать согласованность и качество продукции, а предсказуемые показатели PFR эффективно поддерживают эти требования. Масштабируемость PFR еще больше повышает их полезность в промышленных приложениях.Их модульная конструкция обеспечивает легкую регулировку длины и диаметра реактора для размещения различных производственных мощностей.Эта гибкость в сочетании с их эффективными характеристиками потока делает PFR предпочтительным вариантом для крупномасштабной непрерывной обработки.В результате они широко используются в таких процессах, как полимеризация, гидрирование и каталитические реакции, где поддержание контролируемой реакционной среды необходимо для качества продукта и эффективности процесса.
Реакторы подключения потока (PFR) предлагают несколько преимуществ для химических преобразований.Они обеспечивают точное управление реакцией, поддерживая устойчивую скорость потока и предотвращая смешивание обратной связи, гарантируя, что каждая пробка реагента испытывает постоянные условия реакции.Это повышает эффективность и сводит к минимуму побочные продукты, что важно для чувствительных реакций, таких как окисление спирта или производство пигмента.PFR также обеспечивают высокую чистоту и консистенцию продукта, поскольку все реагенты проходят одно и то же время реакции и условия.Предотвращая смешивание обратного, они улучшают селективность и уменьшают нежелательные боковые реакции, что делает их идеальными для сложных химических процессов.Кроме того, PFR поддерживают непрерывное производство, минимизация времени простоя и снижение затрат, что повышает эффективность крупномасштабного производства.Их масштабируемость и гибкость позволяют легко корректировать скорости потока и размеры реактора, обеспечивая постоянные результаты от пилота до полномасштабного производства.Эти преимущества делают PFR предпочтительным выбором для контролируемых химических преобразований в отраслях, требующих высокой точности и эффективности.
Реакторы потока подключения (PFR) предназначены для поддержания равномерного потока, гарантируя, что все реагенты проходят через реактор с той же скоростью.Эта однородность гарантирует, что каждая бесконечно малая заглушка жидкости, содержащая молекулы реагента, идентичное время пребывания, когда она перемещается от входа к выходу.В результате каждая молекула, попадающая в реактор, подвергается воздействию последовательных условий реакции, включая температуру, давление и градиенты концентрации, по мере продвижения по пути реакции.Эта равномерная схема потока сводит к минимуму вариации скорости реакции, что приводит к более предсказуемым и контролируемым химическим преобразованию.А поскольку в каждой пробке нет латерального смешивания, профиль концентрации остается резко определенным по длине реактора, что позволяет точно контролировать кинетику реакции и скорости конверсии.Эта характеристика делает PFR выгодными для проведения реакций, которые требуют строгого управления временем пребывания для достижения оптимальной доходности.
Паттерн потока заглушки в PFR эффективно устраняет обратное смешение или рециркуляцию реагентов, что является общей проблемой у других типов реакторов, таких как реакторы непрерывного перемешивания резервуаров (CSTR).Предотвращая любое взаимодействие между реагентами на разных стадиях конверсии, PFR повышают эффективность реакции и обеспечивают более равномерный состав продукта.Отсутствие обратного смешения также сводит к минимуму образование нежелательных побочных продуктов, поскольку реагенты не могут преждевременно взаимодействовать с более продвинутыми промежуточками реакции или конечными продуктами.Полученная равномерная реакционная среда полезна для сложных химических систем для селективности и чистоты продукта.Следовательно, PFR широко используются в отраслях, требующих высокого определения химического синтеза, таких как фармацевтические препараты и специальные химические вещества.Их способность поддерживать последовательные условия реакции, избегая при этом перекрестного загрязнения между этапами реакции, показывает их важность в современных процессах химической техники.
В реакторе проточного потока (PFR) время, которое каждая группа молекул реагентов тратит внутри реактора, является согласованным, что очень важно для получения наилучшей скорости реакции и высокой эффективности конверсии.В PFR реагенты входят в виде отдельных заглушек, которые перемещаются через реактор с той же скоростью, что означает, что каждая заглушка испытывает те же условия, такие как температура и давление, когда он проходит через.Это даже экспозиция позволяет точно контролировать, насколько далеко заходит реакция и какие продукты сделаны.Поскольку каждая вилка получает одинаковую обработку, шансы на нежелательные боковые реакции или вариации качества продукта значительно снижаются.Это делает PFR полезным для реакций, которые чувствительны к изменениям температуры, давления или времени.Предоставляя устойчивую и предсказуемую среду, PFR помогают достичь последовательных и надежных результатов реакции, что приводит к оптимизированным скоростям реакции.
PFR также предотвращают смешивание реагентов вдоль пути потока, что помогает более эффективно контролировать реакцию.В отличие от непрерывных реакторов резервуаров (CSTR), где реагенты непрерывно смешиваются, PFR поддерживают постоянный поток, где реагенты движутся вперед, не смешиваясь с пробками позади или впереди.Это гарантирует, что реагенты постепенно превращаются в продукты по мере продвижения через реактор, что помогает избежать чрезмерной реакции или недооценки.Этот точный контроль по времени реакции и концентрации улучшает селективность для желаемого продукта, что приводит к более высокой урожайности и повышению общей эффективности.Этот уровень контроля важен для сложных реакций, которые производят промежуточные виды, поскольку он позволяет тщательно управлять этими промежуточными продуктами, чтобы избежать нежелательных побочных реакций.Из -за этого PFR широко используются в отраслях, где требуются высокая селективность, производительность и постоянное качество продукции.
Устойчивая характеристика рисунка потока для реакторов потока подключения (PFR) обеспечивает однородные профили температуры и давления по всей длине реактора.Эта однородность хороша в предотвращении локализованных горячих точек или холодных зон, которые могут негативно повлиять на скорость реакции и качество продукции.В химических процессах изменение температуры может привести к неравномерным скоростям реакции, что приводит к образованию нежелательных побочных продуктов или несовместимых урожайности продукта.Поддерживая постоянный температурный профиль, PFR обеспечивают более точный контроль над кинетикой реакции, гарантируя, что химические реакции продолжаются с предполагаемой скоростью.Этот контроль полезен для очень экзотермических или эндотермических реакций, где даже незначительные колебания температуры могут привести к безудержным реакциям или неполным преобразованию.Единое распределение температуры способствует повышению безопасности, согласованности продуктов и общей надежности процесса.
В дополнение к однородности температуры, устойчивый рисунок потока в PFR также обеспечивает последовательные профили давления вдоль длины реактора.Стабильная среда давления помогает поддерживать желаемые скорости потока и концентрации реагента для достижения оптимальной эффективности конверсии.Эта согласованность повышает эффективность тепла и массового переноса, позволяя реагентам равномерно взаимодействовать с катализатором или реакционной средой.Улучшенный массоперенос минимизирует градиенты концентрации, которые в противном случае могут ограничить скорость реакции и более низкую эффективность конверсии.Профили равномерного давления и температуры уменьшают механическое напряжение на стенках реактора, продление срока службы оборудования и снижение затрат на техническое обслуживание.В целом, способность PFR поддерживать стабильную температуру и условия давления максимизирует эффективность реакции и качество продукта, обеспечивая безопасную и надежную работу.
Реакторы потока подключения (PFR) обеспечивают преимущества в контроле селективности реакции из-за их последовательной схемы потока и отсутствия обратного смешения.В PFR реагенты перемещаются через реактор в качестве пробки, поддерживая свои относительные положения по всей длине реактора.Эта однонаправленная схема потока позволяет предсказуемое прогрессирование химической реакции, поскольку реагенты постоянно потребляются по длине реактора.Поскольку реагенты истощаются, естественным образом устанавливается градиент концентрации, который непрерывно движет реакцией вперед.Этот градиент гарантирует, что реагенты подвергаются воздействию оптимальных условий реакции в каждой точке вдоль реактора, что способствует эффективной скорости конверсии.Упорядоченный поток сводит к минимуму вероятность преждевременного смешивания реагентов и продуктов, сохранения предполагаемого пути реакции и повышения селективности.Отсутствие обратного смешения не только способствует лучшему контролю над реакционной средой, но также помогает поддерживать более высокий переход между богатыми реакциями и богатыми продуктами зонами, оптимизируя общую эффективность реакции.
Эта характеристика потока выгодна для реакций, которые следуют за кинетикой первого порядка или более высокого порядка, где на скорость реакции напрямую влияют концентрации реагента.В таких случаях градиент концентрации вдоль длины реактора гарантирует, что скорость реакции неизменно высока, где концентрации реагента являются наибольшими, сужающимися, поскольку реализуются реализованные реагенты.Отсутствие радиального смешивания в PFR гарантирует, что все молекулы реагента равномерно подвергаются воздействию катализатора или условий реакции, предотвращая локализованные вариации, которые могут привести к побочным реакциям или образованию нежелательных побочных продуктов.Это равномерное воздействие повышает селективность в направлении желаемого продукта, так как снижает шансы конкурирующих реакций, которые возникают в различных условиях концентрации.Поддерживая контролируемую среду и предотвращая отклонения в концентрациях реагента, PFR обеспечивают превосходный контроль над путями реакции, максимизируя урожайность и чистоту продукта.
Выбор между реактором с непрерывным перемешиваемым резервуаром (CSTR) и реактором потока штепсельной штекеры (PFR) зависит от конкретных потребностей химического процесса.Эти два типа реакторов имеют различные операционные принципы и подходят для различной кинетики реакции.Понимание их различий помогает в выборе наиболее эффективного реактора для данного применения.
CSTR (непрерывные реакторы резервуаров) предназначены для достижения и поддержания идеальных условий смешивания, гарантируя, что концентрация, температура и давление оставались равномерными на протяжении всего объема реактора.Это означает, что любые реагенты, входящие в систему, мгновенно и полностью смешаны с содержанием, уже внутри, в любое время приводят к однородной смесью.Из-за этой хорошо смешанной природы выходной поток, покидающий реактор, имеет идентичную композицию во внутренней реакционной смеси, обеспечивая стационарную работу.Эта характеристика полезна для реакций, которые требуют стабильных условий работы, поскольку она позволяет точно контролировать параметры реакции.Хорошо смешанная среда упрощает кинетическое моделирование, поскольку скорости реакций остаются согласованными по всему реактору.Эта предсказуемость выгодна для экзотермических реакций, которые представляют риск термического бегства, поскольку эффективное рассеяние тепла на протяжении всего реактора сводит к минимуму вероятность локализованных горячих точек.В результате CSTR обычно используются в крупномасштабных промышленных приложениях, где поддержание контролируемой и равномерной реакционной среды необходимо как для безопасности, так и для эффективности.

Рисунок 5. Сравнение идеального смешивания и сегментированного потока в реакторах
Напротив, PFRS (реакторы Plug Flow) работают в режиме сегментированного или подключения потока, где отдельные элементы или штеки жидкости перемещаются последовательно через реактор, не смешивая боковое сбоку друг с другом.Эта схема потока устанавливает градиент концентрации вдоль длины реактора, что означает, что концентрации реагента являются самыми высокими на входе и постепенно уменьшаются по мере их потребления в реакции, в то время как концентрации продукта увеличиваются в сторону розетки.Поскольку каждая заглушка сохраняет свою отдельную химическую композицию на протяжении всего своего путешествия, реакция прогрессирует контролируемым и предсказуемым образом вдоль осевого направления реактора.В отличие от CSTR, которые предполагают мгновенное перемешивание, PFR позволяют постепенно превращать реагенты в продукты, имитируя поведение пакетных реакторов, но на постоянной основе.Это поведение потока полезно в реакциях, где минимизация смешивания обратной связи необходима для достижения высокой эффективности конверсии.Отсутствие полного смешивания гарантирует, что реагенты проводят определенное количество времени в реакторе, что позволяет разрабатывать реакторы с оптимизированным временем пребывания для конкретных реакций.
Сегментированные характеристики потока PFR предлагают преимущества для реакций, требующих точного контроля над кинетикой реакции и селективности продукта.Предотвращая разбавление промежуточных видов посредством смешивания, PFR позволяют лучше манипулировать путями реакции для оптимизации селективности и минимизации образования нежелательных побочных продуктов.Это важно в таких отраслях, как нефтехимические вещества и фармацевтические препараты, где чистота конечного продукта является ключевой проблемой.Возможность поддерживать отдельные химические композиции в каждой пробке позволяет более эффективно использовать катализаторы, поскольку реагенты сталкиваются с оптимальными условиями на протяжении всего своего прогрессирования.В то время как CSTR обеспечивают преимущество стационарной работы и простоты контроля, PFR лучше подходят для сценариев, где максимизация преобразования и поддержание строгого кинетического контроля является приоритетом.Выбор между CSTR и PFR зависит от конкретных требований реакции, включая такие факторы, как желаемый выход продукта, тепло управление и ограничения времени реакции.
Динамика потока в реакторе потока заглушки (PFR) может быть концептуально понята как серия чрезвычайно тонких, совершенно смешанных реакторов с непрерывным перемешиванием (CSTR), расположенных последовательно вдоль длины реактора.Каждый из этих миниатюрных CSTR обеспечивает полное смешивание в радиальном направлении, сохраняя при этом строгое разделение в осевом направлении, что означает, что между различными сегментами не существует обратного смешивания.Эта уникальная характеристика позволяет установить непрерывный и постепенный градиент концентрации, где концентрации реагента постоянно уменьшаются, в то время как концентрации продукта увеличиваются по мере того, как реакция переходит от входа на выход.Из-за этой конструкции PFR эффективно стимулируют химические реакции вперед с большей эффективностью, гарантируя, что реагенты подвергаются контролируемому трансформации в продукты без риска развития реакции разбавления обратного смешения.Эта сегментированная модель потока очень полезна для точного моделирования комплексной кинетики реакции, поскольку она позволяет прогнозировать скорости реакции и оптимизировать размеры реактора на основе зависимой от времени эволюции реагентов и продуктов.Способность точно контролировать условия реакции вдоль длины реактора делает PFR полезными для процессов, требующих специфических реакционных последовательностей, таких как те, которые включают в себя множество стадий реакции или промежуточных соединений, которые требуют точного воздействия реагентов, прежде чем перейти к следующей фазе.
С другой стороны, непрерывные реакторы резервуаров (CSTRS) функционируют по принципу полного и равномерного смешивания по всему объему реактора, гарантируя, что все молекулы реагента распределены и подвергаются воздействию идентичных условий реакции.Тем не менее, это полное смешивание приводит к широкому распределению времени проживания, что означает, что не все молекулы реагента проводят одинаковое количество времени в реакторе.Некоторые молекулы могут выходить из системы слишком рано, прежде чем перенести полную реакцию, в то время как другие могут оставаться в реакторе в течение длительного периода, что потенциально приводит к чрезмерной реакции или нежелательной побочной реакции.Эта изменчивость во времени пребывания может напрямую повлиять на согласованность и качество конечного продукта, что делает CSTR менее идеальными для реакций, которые требуют точного контроля времени пребывания или высокой эффективности конверсии.В промышленных применениях, где необходима однородность реакции и стационарная работа, CSTR остаются популярным выбором из-за их простоты работы и способности обрабатывать масштабное непрерывное производство.Однако для высокоселективных реакций или тех, кто включает в себя множество этапов реакции, PFR часто обеспечивают превосходную производительность, гарантируя, что реагенты следовали четко определенному и предсказуемому пути реакции без непредсказуемости, связанной с широкими распределениями времени пребывания в CSTR.
Реакторы с непрерывным перемешиванием резервуаров (CSTR) обеспечивают хорошо смешанную и стабильную реакционную среду, что делает их выгодными для химических процессов, которые включают медленную кинетику реакции или требуют точной тепловой регуляции.Поскольку концентрации реагента остаются постоянными на протяжении всего реактора из -за непрерывного перемешивания, скорости реакции можно поддерживать на устойчивых уровнях, обеспечивая предсказуемую производительность.Это полезно для реакций, где необходимо поддерживать однородную профиль концентрации для поддержания прогресса реакции, а также для реакций с ограниченными равновесими, где постоянное пополнение реагента полезно.Непрерывное перемещение в CSTR облегчает эффективное распределение тепла, предотвращая локализованные изменения температуры, которые в противном случае могли бы привести к нестабильности реакции или нежелательным побочным реакциям.Поддерживая однородные тепловые условия, CSTR сводит к минимуму риски, связанные с экзотермическими реакциями, такими как внезапные скачки температуры, которые могут поставить под угрозу безопасность или качество продукта.Эта способность регулировать температуру и концентрацию с высокой точностью делает CSTRS предпочтительным выбором для крупномасштабных промышленных процессов для обеспечения единообразия продукта, минимизации побочных реакций и поддержания безопасности.
В отличие от этого, реакторы потока подключения (PFR) дают явное преимущество, когда речь идет о кинетическом контроле и эффективности реакции для процессов, требующих высокой селективности и предсказуемых скоростей конверсии.Однонаправленный поток реагентов через PFR гарантирует, что каждая молекула следует четко определенному пути через реактор, испытывая постоянное время пребывания без смешения или преждевременного разведения.Это контролируемое прогрессирование реагентов позволяет точно манипулировать условиями реакции, что важно для быстрых, необратимых реакций, когда реагенты должны проходить полное преобразование перед выходом из реактора.Отсутствие обратного смешения также позволяет лучше контролировать промежуточные виды, гарантируя, что каждая стадия реакции происходит в оптимальных условиях, чтобы максимизировать селективность.Поддерживая устойчивый градиент концентрации и обеспечивая эффективную прогрессию реакции, PFR обеспечивают превосходную производительность для процессов, которые требуют высокой эффективности конверсии, что делает их предпочтительным выбором для применений, где максимизация урожайности и чистота продукта является главным приоритетом.
Реакторы непрерывного перемешиваемого резервуара (CSTR) широко используются в промышленных процессах для непрерывного смешивания и поддержания равномерных условий реакции.Одним из наиболее распространенных применений CSTR является процессы ферментации, где микроорганизмы или ферменты требуют постоянной среды для поддержания оптимальной метаболической активности.Постоянное перемещение гарантирует, что питательные вещества, кислород и другие реагенты равномерно распределены по всей системе, предотвращая локальное истощение, которое может препятствовать росту микробов или ферментативной эффективности.CSTR очень эффективны для обработки высокоразовичных жидкостей, таких как те, которые встречаются в реакциях полимеризации, где необходимо поддерживать однородное перемещение для достижения последовательного распределения молекулярного массы и предотвращения локализованного образования геля.Их способность обеспечивать точный контроль температуры является еще одним ключевым фактором в их промышленной полезности, для экзотермических реакций, которые требуют эффективного рассеивания тепла, чтобы предотвратить термический сбег.Гомогенные условия в CSTR делают его идеальным выбором для реакций жидкости, когда качество продукта и стабильность процесса имеют значение.Промышленности, которые полагаются на CSTR, включают фармацевтические препараты, тонкие химические вещества, очистку сточных вод, а также производство пищевых продуктов и напитков, где согласованность в условиях реакции напрямую влияет на производительность продукта и соответствие нормативным требованиям.
Реакторы потока подключения (PFR), с другой стороны, являются предпочтительным выбором для процессов, которые требуют высоких скоростей конверсии, точного контроля над кинетикой реакции и минимальным смешением обратной связи.Их дизайн делает их хорошо подходящими для газофазных реакций, например, используемых при производстве аммиака, метанола и водорода, где поддержание контролируемого градиента концентрации отлично подходит для оптимизации урожайности.PFR также играют роль в каталитическом растрескивании, ключевой процесс в нефтяной промышленности, используемый для разбивания больших молекул углеводородов на более ценные продукты, такие как бензин и дизель.Однонаправленный рисунок потока PFR поддерживает высокую эффективность реакции, гарантируя, что реагенты подвергаются предсказуемому преобразованию, сводя к минимуму боковые реакции и улучшая селективность.PFR могут быть спроектированы в виде реакторов с упакованным слоем, где твердые катализаторы или структурированные упаковочные материалы усиливают массу и теплопередачу, что делает их идеальными для каталитических и гетерогенных реакций.Эта адаптивность позволяет использовать PFR в широком спектре химических процессов, включая реакции окисления, синтез полимеров и специальное химическое производство.Их способность достигать высокой эффективности преобразования с точным кинетическим контролем делает их ядро крупномасштабных промышленных применений, особенно в нефтехимических, полимерных и специальных химических секторах.
Вывод уравнения реактора реактора подключения (PFR) важно, чтобы понять, как PFR эффективно контролируют химические реакции, точно управляя кинетикой реакции, температурой и давлением.Этот разрыв объясняет основные принципы и математические шаги, связанные с формулированием уравнения PFR, давая представление о том, как эти реакторы достигают высоких показателей конверсии и селективности.
PFR работает на принципе непрерывного и равномерного потока.Реагенты входят на одном конце и перемещаются через реактор, как и плагин, постоянно продвигаясь к выходу без смешения или радиальной дисперсии.Этот рисунок потока похож на поршень, движущийся через цилиндр, где каждый сегмент жидкости сохраняет свою химическую идентичность и прогрессирует с той же скоростью.Это равномерное движение гарантирует, что каждый сегмент реагента переживает одинаковое время пребывания, сохраняя постоянные условия реакции.Эта согласованность хороша для точного кинетического контроля, что делает PFR эффективными для сложных реакций, которые требуют точного времени и управления концентрацией.
Работа PFR зависит от применения массы и теплового баланса в рамках дифференциального объема реактора.Анализируя небольшой кусок жидкости при перемещении через реактор, можно моделировать химическую кинетику и точно предсказать распределение продуктов.В идеальном PFR отсутствие обратного смешивания и радиальной дисперсии уделяет отчетность каждый сегмент жидкости, сохраняя его химическую историю.Эта однонаправленная картина потока создает градиент концентрации по длине реактора, концентрации реагента уменьшаются, в то время как концентрации продукта увеличиваются.Этот градиент эффективно продвигает химическую реакцию вперед.Баланс массы используется для отслеживания потребления реагентов и образования продуктов, в то время как тепловой баланс учитывает изменения температуры, которые влияют на скорость реакции.Для простоты вывод часто предполагает изотермические условия, сосредотачиваясь на балансе массы и кинетике реакции без сложности изменения температуры.
Уравнение PFR получено из баланса массы на дифференциальном объеме реактора.В изотермических условиях изменение концентрации реагента вдоль длины реактора сбалансировано скоростью реакции.Дифференциальная форма уравнения баланса массы:

Где:
𝐶𝑖 = Концентрация реагента 𝑖 в положении 𝑥
𝑥 = Положение по длине реактора
𝑟 = Скорость реакции, которая зависит от концентраций реагента и кинетики
𝑢 = Постоянная скорость жидкости
Это уравнение показывает, что изменение концентрации реагента напрямую связано со скоростью реакции и скоростью жидкости, движущейся через реактор.Это обеспечивает точное представление кинетики реакции в PFR.Чтобы решить это дифференциальное уравнение, граничные условия устанавливаются на входе реактора, где известна начальная концентрация каждого реагента:

Интеграция проводится с входа (𝑥 = 0) на выход (𝑥 = 𝐿), где 𝐿 - общая длина реактора.Решение уравнения по этой длине дает профиль концентрации каждого реагента при перемещении через реактор.Этот профиль концентрации позволяет прогнозировать концентрации выхода и общую производительность реактора, помогая проектировать реакторы, которые достигают желаемого выхода продукта и селективности.

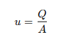
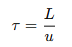
Поддерживая постоянную скорость, реактор гарантирует, что все сегменты жидкости имеют одинаковое время пребывания для достижения согласованных условий реакции.Среднее время пребывания (𝜏), важный дизайн и параметр работы, рассчитывается по:

Это значение представляет среднее время, которое реагент проводит в реакторе.Это хорошо для настройки производительности реактора, особенно для быстрых реакций или тех, кто чувствителен к времени воздействия.Регулируя 𝜏, вы можете оптимизировать скорости конверсии и урожайность продукта.
Необратимая реакция первого порядка в реакторе потока заглушки (PFR) включает в себя один реагент, разлагающийся в продукт без какой-либо обратной реакции.Этот тип реакции важен в химической технике, поскольку он моделирует много процессов разложения и изомеризации.В этом примере реагент 𝐴 преобразуется в продукт 𝐵 после кинетики первого порядка.В этом разделе объясняется, как дизайн PFR повышает эффективность и селективность реакции.
В PFR реакция представлена как:
𝐴 → 𝐵
Это указывает на то, что реагент 𝐴 необратимо превращается в продукт 𝐵 в соответствии с кинетикой первого порядка, что означает, что скорость реакции прямо пропорциональна концентрации 𝐴.Эта простая модель широко используется в промышленных химических процессах, чтобы обеспечить полное преобразование 𝐴 в 𝐵 в правильных условиях.Непрерывный, однонаправленный поток PFR без обратного смешения обеспечивает идеальную среду для реакций первого порядка.Каждая заглушка реагента перемещается через реактор с постоянной скоростью, сохраняя его химическую идентичность и испытывая одни и те же условия реакции.Эта согласованность поддерживает высокую эффективность конверсии и точный контроль над селективностью продукта.Уравнивающее уравнение для необратимой реакции первого порядка в PFR получено из баланса массы в дифференциальном сегменте реактора.Это выражается как:

Где:
𝐶𝐴 = Концентрация реагента 𝐴 в положении 𝑥
𝑥 = Положение по длине реактора
𝑘 = Постоянная скорости реакции, указывая на скорость реакции
𝑢 = Постоянная скорость жидкости через реактор
Это уравнение показывает, что скорость изменения концентрации 𝐴 по длине реактора зависит от кинетики первого порядка, где отрицательный знак указывает на потребление 𝐴.Отсутствие смешивания обратной связи в PFR гарантирует, что каждый дифференциальный сегмент ведет себя как небольшой партийный реактор, упрощая математическое моделирование реакции.Чтобы найти профиль концентрации 𝐴 вдоль реактора, дифференциальное уравнение интегрируется с граничным условием, что первоначальная концентрация на входе известна:

Решение дифференциального уравнения:

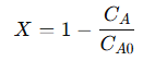
Это уравнение описывает, как концентрация 𝐴 уменьшается в геометрической прогрессии при перемещении через реактор.Скорость этого экспоненциального распада зависит от постоянной скорости реакции (𝑘) и скорости жидкости (𝑢).Эта связь показывает, как параметры конструкции реактора, такие как длина (𝐿), скорость потока и постоянная скорости реакции, влияют на профиль концентрации.Например, увеличение длины реактора или уменьшение скорости потока обеспечивает больше времени пребывания, что позволяет больше 𝐴 преобразовать в 𝐵.И наоборот, более высокая скорость потока уменьшает время контакта, что приводит к снижению конверсии.Общая эффективность преобразования (𝑋) реагента 𝐴 определяется как доля 𝐴, которая реагирует по длине реактора:

Где:
𝐿 = Общая длина реактора
𝑋 = Эффективность преобразования 𝐴
Это уравнение показывает, что увеличение длины реактора (𝐿) или константа скорости (𝑘) повышает эффективность конверсии, в то время как более высокая скорость жидкости (𝑢) снижает ее.Эта формула также иллюстрирует преимущество шаблона потока пробки: равномерное время пребывания гарантирует, что все заглушки реагентов испытывают те же условия реакции, что приводит к предсказуемым и последовательным скоростям конверсии.
Необратимая реакция второго порядка в реакторе потока заглушки (PFR) включает скорость реакции, которая зависит от квадрата концентрации реагента.Этот тип реакции распространен в таких процессах, как полимеризация и димеризация.Понимание того, как PFR обрабатывают эти реакции, помогает разрабатывать эффективные реакторы с высокой скоростью конверсии и селективностью.В PFR типичная необратимая реакция второго порядка включает в себя две молекулы реагента 𝐴, объединяющего для формирования продукта 𝐵, представленное как:
2a → b
Эта реакция необратима, то есть после того, как 𝐴 преобразуется в 𝐵, она не возвращается.Непрерывный, равномерный шаблон потока PFR усиливает это преобразование, сохраняя постоянную скорость и время пребывания на протяжении всего реактора.Эта конструкция гарантирует, что каждая заглушка реагента испытывает те же условия реакции, максимизируя эффективность конверсии.Уравнивающее уравнение для этой реакции получено из баланса массы на небольшом сегменте реактора, предполагая, что не смешается или радиальная дисперсия:

Где:
𝐶𝐴 = Концентрация реагента 𝐴 в положении 𝑥
𝑥 = Положение по длине реактора
𝑘 = Постоянная скорость, указывая на скорость реакции
𝑢 = Постоянная скорость жидкости
Коэффициент 2 объясняет стехиометрию, где два моля из 𝐴 потребляются, чтобы сформировать одну моль 𝐵.
Это уравнение показывает, что скорость изменения концентрации 𝐴 пропорциональна квадрату его нынешней концентрации, отличительной чертой кинетики второго порядка.Это приводит к быстрому снижению 𝐴 по мере развития реакции, особенно при высоких концентрациях.Чтобы найти профиль концентрации 𝐴 вдоль реактора, дифференциальное уравнение интегрируется с входа, где начальная концентрация составляет 𝐶𝐴0, в любую точку 𝑥 вдоль реактора:

Это решение показывает, что концентрация 𝐴 снижается гиперболически, в отличие от экспоненциального распада, наблюдаемого в реакциях первого порядка.Скорость этого снижения зависит от постоянной скорости реакции (𝑘), длины реактора (𝑥) и скорости жидкости (𝑢).Эта связь подчеркивает влияние операционных параметров на концентрацию реагента и общую эффективность конверсии.Например:
• Увеличение длины реактора (𝑥) или константы скорости (𝑘) усиливает конверсию, предоставляя больше времени или ускоряя реакцию.
• Более высокая скорость жидкости (𝑢) сокращает время пребывания, что приводит к более низкому конверсии.
Эта модель помогает предсказать, как корректировки в конструкцию реактора и условия эксплуатации влияют на выход продукта и селективность.
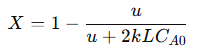
Общая эффективность преобразования (𝑋) реагента 𝐴 рассчитывается как доля 𝐴 преобразуется в продукт 𝐵 вдоль длины реактора:

Заменить интегрированный профиль концентрации дает:

Где:
𝐿 = Общая длина реактора
𝐶𝐴0 = Начальная концентрация 𝐴
𝑋 = Эффективность преобразования 𝐴
Это уравнение показывает, что эффективность конверсии увеличивается с:
• Более длинная длина реактора (𝐿), что увеличивает время пребывания.
• Более высокая начальная концентрация (𝐶𝐴0), которая повышает скорость реакции.
• Большая постоянная скорости (𝑘), которая ускоряет реакцию.
И наоборот, более высокая скорость жидкости (𝑢) уменьшает конверсию за счет снижения времени, проведенных в реакторе.Эти идеи позволяют оптимизировать производительность реактора, регулируя скорости потока, длину реактора и рабочие температуры (которые влияют 𝑘).
Понимание необратимого реакционного поведения второго порядка полезно для разработки реакторов потока пробки (PFR), чтобы максимизировать выход продукта при минимизации отходов реагентов.Поскольку скорости реакции в кинетике второго порядка зависят от концентрации двух реагентов, оптимизация параметров реактора может повлиять на общую эффективность конверсии.Одним из ключевых факторов, влияющих на преобразование, является длина реактора, продлевая длину PFR, реагенты имеют более длительное время пребывания, что позволяет реакции идти дальше к завершению перед выходом из системы.Аналогичным образом, уменьшение скорости потока увеличивает время пребывания, предоставляя больше возможностей для реагентов взаимодействовать и формировать желаемые продукты.Другим параметром является температура, которая непосредственно влияет на постоянную скорость реакции (𝑘).Увеличение температуры повышает постоянную скорость, тем самым ускоряя реакцию и повышая эффективность конверсии.Тем не менее, вы должны тщательно сбалансировать корректировки температуры, чтобы избежать нежелательных побочных реакций или термического разложения чувствительных соединений.Эти принципы обеспечивают точный контроль над условиями реакции, что позволяет отраслям промышленности для точной настройки PFR для конкретных целей производства.
Способность контролировать кинетику реакции второго порядка с точностью выгодно в отрасли, где качество продукции, последовательность и эффективность отлично.Например, в процессах полимеризации поддержание оптимальных концентраций мономера по всему реактору гарантирует, что полимеры достигают последовательного распределения молекулярной массы и желаемых физических свойств.Даже небольшие изменения в условиях концентрации или реакции могут привести к несоответствиям в структуре полимера, влиянию на прочность материала, эластичность или долговечность.Аналогичным образом, в тонком химическом и фармацевтическом производстве селективность и чистота реакции отлично подходят для обеспечения эффективности и безопасности продукта.
Анализ баланса массы в реакторе потока штепсельноговодителя (PFR) в стационарных условиях хорошо подходит для понимания его эффективности и оптимизации производительности в различных химических процессах.В PFR реагенты непрерывно и равномерно текут с входа к выходу без смешения или радиальной дисперсии.Эта последовательная схема потока позволяет точно контролировать концентрации реагента и скорости реакции, что делает PFR высокоэффективными для сложных химических реакций.
В реакторе проточного потока (PFR) движение реагентов следует устойчивому, однонаправленному пути, гарантируя, что каждый отдельный элемент жидкости сохраняет свою химическую идентичность и историю реакции по мере продвижения через реактор.В отличие от реакторов, которые способствуют смешиванию, таким как непрерывные реакторы с перемешиванием (CSTR), PFR работает в соответствии с принципом, что каждый сегмент жидкости остается различным, предотвращая боковое смешивание с соседними сегментами.Эта характеристика означает, что концентрации реагента и степени реакции непрерывно варьируются по длине реактора, а не усредняются через турбулентное смешивание.Из-за этого движения, подобного подключению, реагенты подвергаются реакции в четко определенных условиях в каждой точке реактора, что позволяет более контролировать и предсказуемое преобразование от реагентов в продукты.Полученные градиенты концентрации и температуры по всей длине реактора играют роль в управлении кинетикой реакции и общей эффективности процесса.
Единый и предсказуемый характер потока в PFR дает четкие преимущества, особенно для реакций, которые очень чувствительны к колебаниям концентрации или температуры.Устранение смешивания обратного, реактор гарантирует, что время пребывания для каждой молекулы реагента точно контролируется, что позволяет получить более точные прогнозы прогресса реакции и образования продукта.Эта функция полезна при оптимизации селективности продукта, поскольку определенные реакции могут предположить конкретные условия, которые можно тщательно поддерживаться по всей длине реактора.Отсутствие внутреннего смешивания упрощает математическое моделирование, что облегчает разработку кинетических моделей и проектирования реакторов для максимальной эффективности.Этот оптимизированный подход к разработке реакций не только повышает производительность, но и снижает сложность, связанную с масштабированием процессов для промышленных применений.
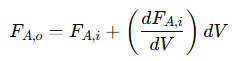
Уравнение баланса массы для PFR получает путем анализа небольшого дифференциального объема (𝑑𝑉) реактора.Этот подход учитывает поток реагента 𝐴 в и из этого объема, а также скорость, с которой он реагирует.В стационарных условиях не существует накопления 𝐴 в 𝑑𝑉, что означает, что скорость притока равна скорости оттока, скорректированной для количества, потребляемой реакцией.Общее уравнение баланса массы:

Где:
𝐹𝐴, 𝑖 = Скорость молярного потока реагента 𝐴 Вступление в дифференциальный объем
𝐹𝐴, 𝑜 = Скорость молярного потока 𝐴 оставляя дифференциальный объем
𝑟'𝐴 = Скорость реакции на единицу объема для 𝐴
𝑑𝑉 = Дифференциальный объемный элемент
Это уравнение показывает, что уменьшение скорости потока 𝐴 обусловлено его потреблением в пределах объема 𝑑𝑉.Поскольку нет смешения обратной связи, каждая пробка реагента сохраняет свою концентрацию по мере продвижения вперед, поддерживая шаблон потока заглушки.
Чтобы связать скорость молярного потока на выходе с скоростью потока входа, уравнение непрерывности используется:

Заменить это в уравнение баланса массы дает:

Это показывает, что изменение скорости молярного потока 𝐴 прямо пропорционально скорости реакции.Отрицательный знак указывает на потребление 𝐴, поскольку оно преобразуется в продукты.Эта связь подчеркивает, как скорость реакции влияет на профиль концентрации 𝐴 вдоль длины реактора.Интеграция этого дифференциального уравнения по длине реактора обеспечивает общее выражение для скорости реакции 𝐴:

Это показывает, что скорость реакции пропорциональна изменению скорости молярного потока 𝐴 вдоль реактора.Отрицательный знак отражает уменьшение 𝐴, поскольку он реагирует на формирование продуктов.Эта интегрированная форма уравнения баланса массы позволяет рассчитать профиль концентрации 𝐴 по всему реактору, что обеспечивает точные прогнозы выхода продукта и общую эффективность конверсии.
Для более сложных реакций, таких как бимолекулярная реакция 𝐴+𝐵 → 𝐶+𝐷, уравнения баланса массы могут быть расширены для учета всех реагентов и продуктов.Для каждого вида дифференциальные уравнения:
• Для реагента 𝐴:

• Для реагента 𝐵:

• Для продукта 𝐶:

• Для продукта 𝐷:

Отрицательные признаки указывают на потребление реагентов, в то время как положительные признаки обозначают образование продуктов.Эти уравнения обеспечивают полный баланс массы для сложных реакционных сетей, что позволяет точно моделировать кинетику реакции и распределение продуктов.
В реакторе проточного потока (PFR), предполагая, что изменение объемного потока упрощает математическое моделирование химических реакций.Это предположение полезно для газофазных реакций при постоянной температуре и давлении (изотермические и изобарические условия) и для реакций жидкости фазы, где плотность жидкости остается постоянной.Поддерживая устойчивую скорость потока по всему реактору, расчеты для кинетики реакции, эффективности конверсии и распределения продуктов становятся более простыми и надежными.
Предполагая, что объемная скорость потока (𝑄) остается постоянной на протяжении всего PFR упрощает анализ химических реакций.Этот постоянный поток гарантирует, что скорость жидкости равномерной по всей длине реактора, что приводит к постоянному времени пребывания для всех элементов жидкости.Эта однородность хороша для поддержания шаблона потока заглушки, где каждый сегмент жидкости движется вперед, как поршень, без смешения или радиальной дисперсии.
Эта устойчивая схема потока гарантирует, что изменения в концентрациях реагента происходят только в осевом направлении, эффективно движущаяся химической реакцией вперед.Он также сохраняет химическую идентичность каждого сегмента жидкости, позволяя точно контролировать условия реакции и кинетику.Это выгодно для реакций, требующих точного времени пребывания и контроля температуры.При предположении о постоянном объемном потоке скорость потока в любой точке реактора остается одинаковой от входа к выходу:
Q I = QO = Q
Это устойчивое состояние означает, что параметры потока согласованы по всей длине реактора, упрощая уравнение баланса массы.Это позволяет анализу сосредоточиться на скорости молярного потока и изменениях концентрации реагентов и продуктов без учета изменений скорости или объема.Скорость молярного потока реагента 𝐴 в любом положении 𝑥 вдоль реактора определяется как:

Где:
𝐹𝐴, 𝑖 = Скорость молярного потока 𝐴 ввода элемента дифференциального объема 𝑑𝑉
[A] я = Концентрация 𝐴 в положении 𝑥
𝑄 = Постоянная объемная скорость потока
Это уравнение связывает скорость молярного потока реагента 𝐴 с его концентрацией и объемной скоростью потока.Поскольку 𝑄 постоянно, изменения в 𝐹𝐴, 𝑖 непосредственно связаны с изменениями в [𝐴] 𝑖.Скорость реакции для реагента 𝐴, обозначенная 𝑟'𝐴, описывает скорость, с которой 𝐴 потребляется по длине реактора.Он рассчитывается с использованием дифференциального изменения скорости молярного потока:

Отрицательный знак указывает на потребление реагента 𝐴, поскольку он преобразуется в продукты.Эта связь показывает, что скорость реакции прямо пропорциональна градиенту концентрации вдоль реактора.Поскольку 𝑄 постоянна, концентрация изменяется только в осевом направлении, гарантируя, что реакция проходит плавно от входа к выходу.Эта однонаправленная схема потока помогает поддерживать постоянные условия реакции, что приводит к предсказуемому продукту и высокой эффективности конверсии.Интегрируя это дифференциальное уравнение по длине реактора, можно рассчитать, как концентрация 𝐴 изменяется от входа на выход:

Эта интеграция обеспечивает профиль концентрации 𝐴 вдоль реактора, выявляя, сколько реактивна потребляется и сколько образуется продукт.Он также показывает влияние параметров конструкции реактора, таких как длина, скорость потока и константа скорости реакции на эффективность конверсии и распределение продуктов.Поддержание простых математических моделей означает меньше переменных, что облегчает вычисления и быстрее моделирование.Точные прогнозы концентрации помогают разрабатывать реакторы для максимальной эффективности и селективности, обеспечивая оптимальную производительность.Постоянное время пребывания и скорости потока позволяют точно управлять процессом, что приводит к надежному качеству продукции.В целом, если предположить, что изменение объемного потока в PFR упрощает моделирование химической реакции при сохранении точности, что делает его важным инструментом для эффективной конструкции и работы реактора.
Реакторы потока подключения (PFR) широко используются в химической обработке из -за их уникальной конструкции, которая обеспечивает непрерывное и равномерное движение реагентов.Эта конструкция обеспечивает точный контроль над кинетикой реакции и временем пребывания, что делает PFR высокоэффективными для многих химических процессов.Тем не менее, они также имеют ограничения, которые необходимо учитывать в зависимости от приложения.В этом разделе рассматриваются преимущества и недостатки PFR.
Реакторы подключения потока (PFR) известны своей высокой эффективностью преобразования, что является результатом их уникальных характеристик потока.В отличие от других типов реакторов, PFR гарантируют, что реагенты движутся в одном направлении без какого-либо смешения.Это означает, что после того, как жидкий элемент попадает в реактор, он продолжает течь вперед, не смешиваясь с другими частями жидкости.Из -за этого контролируемого движения химический состав в любой данной точке в реакторе остается различным и предсказуемым.Одним из основных преимуществ этого устойчивого потока является то, что он минимизирует распределение времени пребывания, что означает, что все реагенты проводят равное количество времени внутри реактора.В результате реакция происходит равномерно по всей длине реактора, повышая эффективность и делает PFR полезными для процессов, которые требуют строгого контроля над условиями реакции.
Другая причина высокой эффективности преобразования PFR - их способность поддерживать стабильный градиент концентрации по всему реактору.Поскольку реагенты непрерывно потребляются по мере продвижения через реактор, концентрация постепенно уменьшается вдоль пути потока, что может помочь привлечь реакции на завершение более эффективно.Это делает PFR более эффективными, чем непрерывные реакторы резервуаров (CSTR), где постоянное смешивание может привести к изменениям концентрации, которые могут снизить эффективность реакции.Для реакций, которые очень чувствительны к изменениям концентрации или требуют точного времени, PFR предлагают преимущество.Обеспечивая равномерную реакционную среду, они помогают оптимизировать скорости реакции, минимизировать нежелательные побочные продукты и максимизировать выход продукции.
Структурированный поток в реакторах потока заглушки (PFR) гарантирует, что реагенты постоянно подвергаются воздействию тех же условий реакции, когда они движутся через реактор.Это устойчивое и равномерное воздействие играет роль в минимизации формирования нежелательных побочных продуктов, что может негативно повлиять на эффективность реакции.Сокращая эти нежелательные боковые реакции, PFR помогают улучшить общую селективность реакции, что делает их полезными для химических процессов, которые требуют высокой точности.Это важно в отраслях, где даже небольшие различия в химическом составе могут привести к различиям в производительности продукта, например, в производстве специальных химических веществ и фармацевтических продуктов.Поскольку каждая заглушка реагента перемещается с той же скоростью и испытывает идентичные условия реакции, реакция проходит контролируемым и предсказуемым образом.Этот уровень согласованности гарантирует, что желаемое химическое преобразование происходит в соответствии с предполагаемым, что приводит к более высокой урожайности целевого продукта, при этом сводя к минимуму необходимость дополнительных стадий очистки.
Способность PFR обеспечить равномерную реакционную среду непосредственно способствует повышению консистенции продукта и повышению эффективности реакции.Поскольку каждая часть потока реагента следует по тому же пути и подвергается тем же условиям реакции, конечный продукт демонстрирует надежные и повторяемые характеристики.Это полезно для процессов, где важно поддерживать строгий контроль качества, поскольку даже небольшие изменения в температуре, давлении или концентрации реагента могут изменить конечный результат.Высокая степень селективности в PFR делает их идеальными для реакций, которые включают чувствительные промежуточные виды, где необходим точный контроль над кинетикой реакции.Кроме того, поскольку PFR работают с непрерывным потоком, их можно легко масштабироваться для промышленных применений без ущерба для эффективности реакции.Эта масштабируемость в сочетании с их способностью повысить селективность реакции делает PFR предпочтительным выбором для многих химических производственных процессов, обеспечивая постоянную, высококачественную производительность в различных приложениях.
Реакторы подключения потока (PFR) работают непрерывным образом, что означает, что их не нужно останавливать и часто перезапускаться.Эта непрерывная операция уменьшает время простоя, обеспечивая более высокую производительность и повышение эффективности химической обработки.Поскольку PFR не требуют механического перемешивания, они потребляют меньше энергии по сравнению с другими типами реакторов, которые полагаются на движущиеся части для смешивания реагентов.Более низкое потребление энергии приводит к снижению эксплуатационных затрат, что делает PFR экономически эффективным выбором для крупномасштабного производства.Их способность поддерживать стационарную работу гарантирует, что химические реакции проходят предсказуемым образом, способствуя стабильности процесса.Отсутствие движущихся компонентов также снижает потребности в техническом обслуживании, сводит к минимуму неожиданные сбои и повышая общую надежность.Из-за этих преимуществ PFR широко используются в отраслях, которые требуют последовательной высокопроизводительной химической обработки, сохраняя при этом потребление энергии и эксплуатационные затраты как можно низкая.
Другим важным преимуществом PFR является их простота масштабирования от лабораторных экспериментов до полного промышленного производства.Поскольку условия реакции остаются равномерными по всей длине реактора, увеличение производственной способности может быть достигнуто путем простого расширения длины реактора или с использованием нескольких параллельных труб.Эта масштабируемость гарантирует, что производители химических веществ могут расширить свои операции без серьезных изменений в конструкции реактора.Предсказуемая картина потока в PFR также облегчает управление переменными реакции, обеспечивая постоянное качество продукта в различных производственных масштабах.Поскольку каждая часть реагентов перемещается через реактор без смешения обратной связи, процесс реакции остается стабильным и равномерным.Эта функция упрощает оптимизацию процесса и позволяет лучше контролировать эффективность реакции.В результате отрасли, которые требуют точного контроля над химическими реакциями, часто выбирают PFR для их способности поддерживать согласованность и надежность как в малых, так и в больших масштабах.
Конструкция потока штепсельной штекеры помогает эффективно переносить тепло и массу, что сохраняет стабильные реакции, особенно в процессах, которые высвобождают или поглощают много тепла.Поскольку не существует смешивания обратного, тепло распространяется равномерно через реактор, предотвращая слишком горячие или слишком холодные области.Это даже распределение тепла сохраняет стабильные скорости реакции и сохраняет хорошее качество продукции.Если бы тепло было неравномерным, это могло бы вызвать такие проблемы, как медленные реакции или нежелательные боковые продукты.Поддерживая стабильную температуру, конструкция потока штепсельной штекеры также повышает безопасность, снижая риск опасного перегрева в реакциях, которые выделяют много тепла.Поскольку реакция остается под контролем, она работает более плавно и эффективно, что приводит к лучшим результатам.Эта конструкция также гарантирует, что реакция следует устойчивому и предсказуемому пути, который повышает эффективность и сохраняет продукт чистым.Когда реагенты перемещаются через реактор, все они проходят одинаковые условия, не смешивая с другими частями.Это позволяет лучше контролировать этот процесс и гарантирует, что реакция произойдет, как и ожидалось.Из -за этого производится меньше нежелательной формы побочных продуктов, и сделано больше желаемого продукта.Способность конструкции потока плавного потока хорошо переносить тепло, поддерживать стабильные температуры и контролировать реакции, делает его очень полезным для промышленных процессов, где важны качество и эффективность.
Реакторы потока подключения (PFR) очень полезны, потому что они могут обрабатывать множество различных типов химических реакций.Они хорошо работают для быстрых реакций, необратимых реакций и газофазных реакций, потому что реагенты плавно перемещаются через реактор с устойчивым потоком.PFR также отлично подходят для реакций, которые используют твердые катализаторы, поскольку ровный поток гарантирует, что все реагенты получают одинаковое воздействие на катализатор.Это помогает химическим реакциям происходить более эффективно и дает более последовательные результаты.Из-за этих преимуществ PFR широко используются в таких отраслях, как нефтехимические вещества и фармацевтические препараты, где для изготовления высококачественных продуктов необходим точный контроль над реакциями.Их способность сохранять стабильные и эффективные реакции делает их важным инструментом для многих химических процессов.PFR также очень полезны в создании полимеров, потому что они сохраняют концентрации мономера устойчивыми на протяжении всей реакции.Это важно для производства полимеров с равномерными свойствами, такими как постоянная сила и долговечность.Гладкий поток в PFR уменьшает вариации концентрации и времени реакции, что приводит к более надежному конечному продукту.Поскольку PFR работают непрерывно, они также могут сэкономить время и повысить эффективность по сравнению с партийными реакторами.Их способность справляться с различными реакциями с точностью и надежностью делает их ценными во многих отраслях.Независимо от того, используется ли для катализа, газофазных реакций или производства полимеров PFR предлагают надежный и эффективный способ контроля химических реакций и поддержания качества продукта.
Реакторы подключения потока (PFR) лучше всего подходят для химических реакций, которые движутся в одном направлении и не должны обращать на нет или достигать баланса.Они наиболее эффективны для необратимых реакций, где реагенты превращаются в продукты, не возвращаясь.Поскольку PFR имеют постоянный поток, реагенты движутся вперед, не смешиваясь с продуктами.Эта настройка не идеальна для реакций, которые необходимо достичь равновесия, поскольку отсутствие смешивания предотвращает реакцию от регулировки по пути.В этих случаях PFR может не допустить, чтобы реакция достигла своего полного потенциала, что делает ее менее эффективной для определенных химических процессов.Некоторые реакции требуют больше времени и смешивания, чтобы получить наилучшие результаты, но PFR не обеспечивают такую гибкость.Из -за этого некоторые реакции могут не полностью завершены, что приведет к более низкой эффективности.Для реакций, которые нуждаются в лучшем смешивании и более длительном времени реакции, непрерывный реактор с перемешиванием (CSTR) или другой тип реактора может работать лучше.Cstrs постоянно перемешивают содержимое, обеспечивая даже смешивание и позволяя реакции перемещаться в обоих направлениях, если это необходимо.Это делает их полезными для реакций, которые требуют тщательного контроля, чтобы получить наилучший урожай.Несмотря на то, что PFR отлично подходят для определенных реакций, они могут быть не лучшим выбором, когда реакции требует больше времени для баланса или требует постоянного смешивания.Выбор правильного реактора зависит от типа реакции и желаемого результата.
Реакторы подключения потока (PFR) нуждаются в стабильном и хорошо смешанном корме, чтобы сохранить согласованные скорости реакции и качество продукта.Если корм изменяется в концентрации, температуре или давлении, это может повлиять на то, насколько хорошо работает реактор.Неравномерное качество подачи может привести к непоследовательным показателям конверсии и изменениям в конечном продукте.В отраслях, где точное качество продукта важно, даже небольшие изменения могут вызвать такие проблемы, как нежелательные боковые реакции или более низкая эффективность.Чтобы избежать этих проблем, важно сохранить стабильную и правильно контролируемая корма.Хорошо регулируемый подача гарантирует, что реактор работает плавно и дает надежные результаты.PFR очень чувствительны к изменениям в условиях подачи, потому что любое изменение напрямую влияет на то, как реакция происходит внутри реактора.Поскольку реакции происходят по мере прохождения подачи, любые изменения его свойств могут привести к неравномерной обработке и непредсказуемым результатам.Чтобы предотвратить это, операторы должны тщательно контролировать и контролировать корм.Сдвиг температуры, изменения давления или примеси могут нарушить реакцию и снизить эффективность.Использование передовых систем мониторинга помогает поддерживать стабильные условия, обеспечивая повышение производительности, более высокое качество продукции и меньше проблем с производством.
В реакторах потока с помощью упакованного слоя (PFR) сплошные катализаторы или упаковочные материалы помогают управлять химическими реакциями.Тем не менее, канала может возникнуть, когда поток реагентов не распространяется равномерно через упакованное слое.Вместо того, чтобы растет равномерно, реагенты могут пройти определенные пути, пропуская части катализатора.Это вызывает неравномерную реакцию, где некоторые области работают эффективно, а другие - нет.В результате некоторые реагенты проходят через реактор без полного реагирования, снижая общую эффективность.Поскольку PFR нуждаются в даже наилучшей производительности, канала может быть большой проблемой, особенно в отраслях, которые требуют высокого уровня конверсии.Чаннилирование приводит к неравномерным скоростям реакции и снижению общей эффективности.Когда части кровати катализатора обходится, меньше реагентов превращаются в продукты, что приводит к потраченным впустую материалам и более низкой урожаях.Чтобы предотвратить это, вы должны тщательно разработать реакторы.Они могут использовать равномерную упаковку, распределители потока или специальные конструкции для равномерно распределения потока.Правильная конструкция помогает минимизировать направление, делая реактор более эффективным и улучшая химическое производство.
Несмотря на то, что реакторы потока плавки (PFR) имеют простой дизайн, их большее значение или разработка их для широкомасштабного использования может быть довольно сложным.При масштабировании PFR они должны убедиться, что поток материалов остается гладким и что условия реакции остаются прежними на протяжении всего реактора.Это требует тщательных расчетов, чтобы понять, как движутся жидкости, как распространяется тепло и как быстрая реакция происходят внутри системы.Эти факторы становятся еще более важными в крупных промышленных условиях, где небольшие изменения потока или температуры могут повлиять на эффективность и качество продукта.Если PFR не увеличивается должным образом, он может работать не так же хорошо, как ожидается, что приведет к проблемам производства.Чтобы увеличить PFR, часто делайте его длиннее или настраивайте несколько реакторов рядом.Однако простого увеличения размера недостаточно.Они должны тщательно скорректировать скорости потока, чтобы материалы двигались с правильной скоростью для завершения реакции.Изменения давления внутри реактора также необходимо контролировать, чтобы предотвратить проблемы с потоком.Другая проблема - теплопередача, поскольку более крупные реакторы могут изо всех сил пытаться сохранить равномерную температуру, что может привести к перегреву или слишком сильно остыть или остыть.Многие используют расширенные методы для управления этими факторами, так что более крупный реактор работает так же хорошо, как и оригинальная меньшая версия.
Реакторы плавного потока (PFR) могут развивать загрязнение, которое происходит, когда твердые материалы накапливаются внутри реактора.Эти месторождения могут поступать из оставшихся реагентов, побочных продуктов или примесей в корме.Со временем загрязнение может блокировать поток материалов и сделать теплообмен менее эффективным.Поскольку контроль температуры важен для реакций, это может замедлить или изменить процесс реакции, снизить эффективность.Чтобы предотвратить это, необходима регулярная очистка, но это может быть дорогостоящим и может потребовать остановки или замедления операций.Если загрязнение не управляется, это также может привести к долгосрочному повреждению частей реактора, что приведет к еще более дорогому ремонту.Помимо загрязнения, PFR также могут столкнуться с блокировками или сбоями в потоке.Эти реакторы нуждаются в постоянном движении материалов, поэтому любая блокировка может вызвать проблемы.Закупорки могут поступать из твердых частиц, проблем с оборудованием или изменений в составе корм.Когда это произойдет, давление может измениться, и реакция может не завершить должным образом, что приведет к снижению качества продукции.Неровный поток также может влиять на уровни температуры и концентрации внутри реактора, что делает процесс менее эффективным.Чтобы избежать этих проблем, необходим постоянный мониторинг.Многие системы используют датчики и элементы управления для отслеживания производительности, но они увеличивают эксплуатационные затраты.Несмотря на эти проблемы, регулярное техническое обслуживание и тщательный мониторинг помогают PFR работать гладко и эффективно.
Реакторы подключения потока (PFR) широко используются в химической технике из -за их эффективности и универсальности.Их дизайн обеспечивает однонаправленный поток и постоянное время пребывания, что позволяет точно контролировать кинетику реакции и распределение продуктов.Это делает их подходящими для различных химических реакций, включая газофазную, жидкую фазу, гетерогенную и однородную системы.Их масштабируемость и экономическая эффективность ценны в крупномасштабном промышленном производстве.
Реакторы потока подключения (PFR) важны для изготовления больших количеств химических веществ, таких как серная кислота, этиленоксид и метанол.Их конструкция позволяет химическим веществам непрерывно течь, что ускоряет реакции и увеличивает производство.Это полезно для промышленности, которые необходимо быстро сделать химикаты с высоким объемом.PFR обеспечивают стабильные условия реакции, гарантируя, что конечный продукт является чистым и согласованным по качеству.Поддерживая стабильные скорости реакции и снижая нежелательные побочные продукты, PFR помогают максимизировать эффективность производства.Эта надежность отлично подходит для отраслей, которые зависят от точных химических процессов для эффективного производства больших количеств и при более низких затратах.PFR также делают химическое производство более эффективным, предотвращая смешную обработку и сохраняя однородные реакции.Их устойчивый поток позволяет лучше контролировать условия реакции, снижая необходимость в дополнительных этапах очистки.Это снижает затраты на производство и уменьшает отходы, делая операции более устойчивыми.Из-за их способности производить химические вещества быстро, последовательно и с минимальными отходами, PFR широко используются в отраслях, которые требуют химического производства с большим объемом.Их дизайн делает их предпочтительным выбором для компаний, стремящихся повысить эффективность и качество продукции, сохраняя при этом контроль затрат.
В нефтехимической промышленности реакторы потока подключения (PFR) обычно используются для переработки, таких как каталитическое растрескивание и гидрирование.Их точный контроль над условиями реакции позволяет эффективно выработать ценные химические вещества, такие как этилен, пропилен и бутадиен, которые используются при изготовлении пластмасс и синтетических материалов.Поскольку PFR непрерывно обрабатывают высокие объемы углеводородов, они помогают нефтеперерабатыванию работать плавно и поддерживать качество продукции.Однонаправленный поток в PFR предотвращает смешение обратной связи, сохраняя чистоту реагентов и повышая общую эффективность.Другим преимуществом PFR в нефтехимической обработке является их способность эффективно обрабатывать тепло, что важно для реакций высокотемпературного уточнения.Поддерживая устойчивую температуру и давление, PFR помогают максимизировать урожайность при снижении нежелательных побочных продуктов.Их дизайн также делает их адаптируемыми как для крупномасштабных операций по переработке, так и для специализированного нефтехимического производства.Из -за их эффективности, надежности и способности обрабатывать большие объемы материала без перерыва, PFR играют роль в нефтехимической промышленности, помогая нефтеперерабатыванию удовлетворить глобальный спрос при повышении энергоэффективности.
Реакторы потока подключения (PFR) широко используются при изготовлении лекарств, особенно при производстве активных фармацевтических ингредиентов (API).Их способность поддерживать точные условия реакции гарантирует, что лекарства производятся с высокой чистотой и последовательности.Поскольку все молекулы в PFR испытывают те же условия реакции, в качестве продукта меньше вариаций.Это важно в фармацевтической промышленности, где строгие правила требуют последовательного и высококачественного производства лекарств.Сокращая образование нежелательных побочных продуктов, PFR также помогают максимизировать урожай, обеспечивая эффективное использование дорогостоящего сырья.PFR также улучшают фармацевтическое производство, обеспечивая непрерывное производство вместо партийной обработки.Это снижает изменчивость между различными производственными прогонами и повышает эффективность.Устойчивый поток реагентов в PFR делает их идеальными для производства специальных лекарств, которые требуют точного контроля в течение времени и условий реакции.PFR поддерживают современные методы производства, такие как химия непрерывного потока, что помогает компаниям сократить отходы и снижать затраты при соблюдении строгих стандартов качества и безопасности.Из -за этих преимуществ PFR являются важной технологией в фармацевтическом производстве.
Реакторы потока подключения (PFR) очень эффективны в каталитических реакциях, где реагенты должны иметь даже контакт с катализаторами для достижения наилучших результатов.Их устойчивый поток гарантирует, что реагенты равномерно проходят через каталитические поверхности, повышая скорость реакции и эффективность.Это полезно в промышленных процессах, таких как гидрирование и окисление, где точный контроль реакции приводит к более высоким урожаям.Поскольку PFR поддерживают стабильные условия, катализаторы длится дольше, снижают затраты и повышают общую производительность.Предотвращая неравномерное смешивание, PFR также уменьшают нежелательные побочные реакции, что делает их предпочтительным выбором для отраслей, которые зависят от каталитических процессов.PFR также усиливают крупномасштабную каталитическую продукцию, оптимизируя условия реакции и уменьшая отходы.Их конструкция обеспечивает лучшую температуру и контроль давления, что приводит к более эффективному использованию катализаторов.Это важно для таких отраслей, как нефтехимические вещества, фармацевтические препараты и тонкие химические вещества, где даже небольшие улучшения в эффективности могут повлиять на затраты и качество продукции.Из -за их способности максимизировать производительность катализатора при минимизации отходов и потребления энергии, PFR играют роль в промышленных каталитических реакциях.
Реакторы потока подключения (PFR) важны для защиты окружающей среды, особенно для снижения загрязнения и обработки промышленных отходов.Они обычно используются при обработке дымовых газов, где вредные выбросы, такие как диоксид серы и оксиды азота, превращаются в более безопасные соединения.PFR также играют роль в очистке сточных вод, разбивая опасные химические вещества на менее вредные побочные продукты.Их непрерывный дизайн потока обеспечивает эффективное удаление загрязняющих веществ, помогая промышленности в соответствии с экологическими правилами, одновременно снижая эксплуатационные расходы.В дополнение к контролю за загрязнением, PFR поддерживают устойчивость путем повышения энергоэффективности и сокращения отходов.Их способность обрабатывать большие объемы промышленных отходов непрерывно делает их надежным решением для крупномасштабного управления окружающей средой.Включая технологию PFR, отрасли могут снизить влияние на окружающую среду, сохраняя при этом эффективное производство.По мере роста заботы о загрязнении и изменении климата PFR становятся все более ценным инструментом для промышленности, ищущих более чистые и более устойчивые решения для производства.
PFR могут обрабатывать как гетерогенные, так и однородные реакции, делая их очень универсальными в химическом синтезе.Они полезны для сложных органических синтезов, требующих точного теплового контроля и обработки материалов. В неоднородных реакциях однородная картина потока обеспечивает даже контакт между реагентами и твердыми катализаторами, максимизируя скорости конверсии и селективность продукта.В однородных реакциях постоянное время пребывания поддерживает стабильную кинетику реакции, повышая урожайность и качество продукта.Эта адаптивность делает PFR подходящими для широкого спектра химических процессов, от основных товарных химических веществ до сложных мелких химических веществ и фармацевтических препаратов.Их точный контроль над условиями реакции позволяет синтез продуктов с высокой точкой с минимальными побочными продуктами.
PFR используются для производства тонких химикатов, где требуются высокая чистота и специфические пути реакции.Они обеспечивают точный контроль над температурой, давлением и временем пребывания, обеспечивая постоянное качество продукта и урожайность.Эта точность отлично подходит для производственных красителей, ароматов, специальных покрытий и других тонких химикатов, которые требуют строгих стандартов качества.PFR минимизируют образование побочных продуктов и повышают селективность реакции, оптимизируют использование сырья и уменьшая отходы.Их масштабируемость также позволяет производителям с тонкими химическими веществами эффективно переходить от мелкого лабораторного синтеза к полномасштабному промышленному производству при сохранении последовательности продукта.
Реакторы подключения потока очень полезны для управления химическими реакциями с точностью.Они работают, сохраняя все, что движется в одном направлении, что помогает получить больше продукта из того же количества химических веществ и обеспечивает безопасность и постоянными.Они особенно хороши для крупных промышленных рабочих мест, где вам нужно сделать много продуктов, не теряя материалов или энергии.Тем не менее, они не идеальны для каждой ситуации, иногда они не смешиваются достаточно хорошо для определенных реакций, и они могут быть чувствительны к изменениям в используемых ими материалах.Но в целом, PFR являются выбором для многих производственных процессов, потому что они сбалансируют эффективность с эффективностью, поддержание промышленности в сфере и экономически.
Пожалуйста, отправьте запрос, мы ответим немедленно.
Принцип реактора проточного потока (PFR) состоит в том, что реагенты текут через цилиндрическую трубу таким образом, где все элементы жидкости движутся через реактор с той же скоростью, без смешивания в направлении потока.Это приводит к каждому сегменту жидкости, входящей и выходящей из реактора в разное время, по существу поддерживая «пробку» жидкости, которая движется через реактор.Концентрация и скорость реакции варьируются по длине реактора, но постоянны по любому поперечному сечению, перпендикулярно потоку.
Ключевой особенностью реактора с потоком штекерной планы является его способность поддерживать устойчивый градиент концентрации реагента с входа к выходу.Это гарантирует, что реакция прогрессирует как серия бесконечно -малых партийных реакторов, секвенированных вдоль длины трубки.Эта настройка обеспечивает точный контроль в течение времени и условий реакции, что идеально подходит для реакций, которые чувствительны к времени пребывания.
Реакторы потока подключения (PFR) широко используются в отраслях, где точный контроль по времени реакции хороша для эффективности и качества продукта.При производстве химических веществ PFR позволяют постоянно создавать химические вещества, обеспечивая однородные характеристики продукта посредством стабильных условий потока и реакции.Они важны в нефтехимических процессах, таких как углеводородный растрескивание, для получения этилена и других олефинов, где точное время и температуры являются ключом к максимизации доходности и снижению побочных продуктов.В фармацевтическом производстве PFR важны для синтеза лекарств.Точный контроль, который они предлагают в течение времени и условий реакции, помогает гарантировать, что фармацевтические препараты являются чистыми и допускающимися, что лучше всего подходит для безопасности пациентов и эффективности лекарственного средства.PFR также используются при очистке воды, в частности, при хлорировании воды, для эффективного дезинфекции при контроле химического воздействия и минимизации избыточного использования.
Компания Plug Flow работает на принципе, аналогичном PFR, но специально предназначен для анаэробного расщепления органических материалов.В этой установке органические отходы постоянно подаются в один конец герметичного горизонтального реактора.Когда отходы перемещаются через реактор, микроорганизмы переваривают органическое вещество, производя биогаз (метатан и углекислый газ).Варец поддерживает равномерный поток, который предотвращает смешивание и гарантирует, что каждый сегмент отходов имеет постоянное время удержания, оптимизируя производство газа и минимизирует непереваренные отходы.
Использование реактора с потоком подсключения (PFR) улучшает химические процессы, предлагая высокую эффективность преобразования, что означает, что все реагенты эффективно используются для максимизации выхода.PFR поддерживают точный контроль температуры, повышение скорости реакции и урожайности.Они масштабируются, позволяя легко переходить от мелкомасштабных лабораторных установок к крупномасштабному промышленному производству, не влияя на качество процесса.PFR предотвращают смешение обратной связи, необходимость в процессах, которые требуют последовательных реакций без помех.Они ускоряют производство, поддерживая реагенты непрерывно двигаться к завершению, сокращая общее время реакции и сокращение затрат.
на 2025/03/4
на 2025/03/3
на 8000/04/18 147757
на 2000/04/18 111931
на 1600/04/18 111349
на 0400/04/18 83718
на 1970/01/1 79508
на 1970/01/1 66881
на 1970/01/1 63010
на 1970/01/1 62973
на 1970/01/1 54081
на 1970/01/1 52107