Разработка технологии аккумулятора продвигает новую электронику, электромобили и возобновляемую энергию.Знание того, как работают различные методы зарядки аккумулятора, важно для получения наилучшей производительности и самого длительного срока службы от батарей.В этой статье рассматриваются различные методы зарядки, такие как постоянное напряжение (CV) и постоянный ток (CC), их комбинации и новые методы, такие как зарядка постоянной мощности (CP).Он также охватывает передовые методы, такие как зарядка импульса и инновационный метод зарядки IUI, предназначенный для конкретных типов батарей.Каждый метод имеет свои собственные преимущества и лучше всего подходит для определенных целей, показывая подробные потребности современной технологии батареи.В этой статье не только объясняется, как работают эти методы, но и показывают, как они используются в современном технологическом мире, и создает основу для подробного взгляда на каждый метод зарядки, как они работают, и технологические достижения, которые продолжают менять областьЗарядка батареи.

Рисунок 1: Зарядка аккумулятора работает
Зарядка постоянного напряжения (CV) - это метод, при котором напряжение, приложенное к батарее, остается фиксированным на протяжении всего процесса зарядки.Это отличается от зарядки постоянного тока (CC), где ток сохраняется постоянным, в то время как напряжение варьируется.При зарядке CV батарея заряжается до тех пор, пока не достигнет заранее определенного уровня напряжения.На этом этапе сохраняется напряжение, а ток уменьшается, когда батарея приближается к полному заряду.Этот метод гарантирует, что напряжение остается в безопасном диапазоне, предотвращая перезарядку и потенциальное повреждение батареи.
Этот метод зарядки требуется на последней стадии зарядки литий-ионных батарей.Он обеспечивает точное управление напряжением, гарантируя, что каждая ячейка в аккумуляторе достигает оптимального уровня заряда без превышения максимального предела напряжения, который может нанести вред химии батареи и срока службы.

Рисунок 2: График зарядки постоянного напряжения (CV)
Вот подробная разбивка фазы зарядки CV:
Во время фазы постоянного тока (CC) батарея заряжается до тех пор, пока она не достигнет определенного порога напряжения, близко к ее максимальной емкости (около 4,2 вольт на ячейку для большинства литий-ионных батарей).
Как только этот порог будет выполнен, схема зарядки переходит от режима CC в режим CV.Затем зарядное устройство применяет постоянное напряжение к аккумулятору.
В начале фазы CV зарядный ток высокий.Поскольку напряжение ячейки приближается к напряжению зарядного устройства, ток постепенно уменьшается.Это происходит потому, что разность потенциалов между зарядным устройством и батареей уменьшается, естественно, ограничивая текущий поток в соответствии с законом Ома.
По мере того, как батарея продолжает заряжаться, для поддержания напряжения требуется меньше тока.Этот уменьшение тока указывает на то, что аккумулятор приближается к своей полной зарядной емкости.
Процесс зарядки заканчивается, когда ток падает до небольшой доли от начальной скорости заряда, часто около 10% от начального тока.Это падение тока сигналов о том, что батарея полностью заряжена.
Зарядка постоянного тока (CC) - это метод зарядки аккумулятора, в котором фиксированный ток подается в аккумулятор, пока он не достигнет определенного уровня напряжения.В отличие от зарядки постоянной напряжения (CV), где напряжение остается устойчивым, а ток уменьшается по мере заряда аккумулятора, зарядка CC поддерживает устойчивый ток на протяжении всего процесса зарядки.Этот ток определяется производителем батареи или определяется на основе характеристик батареи.По мере того, как постоянный ток течет в аккумулятор, его напряжение увеличивается.Как только аккумулятор достигнет своего назначенного порога напряжения, метод зарядки может переключаться на постоянную зарядку напряжения, чтобы завершить цикл, обеспечивая полную зарядку батареи без перезарядки.
Основной принцип зарядки CC включает в себя поддержание тока, поступающего в постоянную батарею на протяжении всей фазы зарядки.Это достигается с использованием текущих регулирующих схем или устройств, которые контролируют и регулируют текущий выход, чтобы соответствовать желаемому уровню.Этот метод обеспечивает эффективную перенос энергии и сводит к минимуму напряжение на батареях.Постоянная зарядка тока широко используется в различных приложениях, включая потребительскую электронику, электромобили и промышленное оборудование, из -за его простоты и эффективности в безопасной и надежной зарядке батарей.

Рисунок 3: График постоянной зарядки тока
Достижения в этой области обусловлены необходимостью более эффективных, более быстрых и более безопасных решений для зарядки, сосредоточенных на инновационных материалах, системах управления батареями и интеллектуальными алгоритмами.Ниже приведен интересный обзор этих новых технологий:
|
Категория |
Технология |
Описание |
Преимущества |
|
Электродные материалы |
Кремниевые аноды |
Кремний может хранить в десять раз больше лития
Ионы, чем графит, что приводит к более высокой плотности энергии и более быстрой зарядке. |
Более высокая плотность энергии, более быстрая зарядка |
|
Литий -металлические аноды |
Литий -металл предлагает более высокую емкость, но
создает риск коротких замыканий от дендритов.Решения включают продвинутые
Электролиты и твердотельные конструкции. |
Более высокая мощность, повышенная безопасность |
|
|
Системы управления аккумуляторами (BMS) |
Адаптивная зарядка CC |
Контролирует заряд каждой ячейки, температура,
и здоровье, корректировка течения в режиме реального времени с использованием машинного обучения и
Усовершенствованные алгоритмы. |
Оптимизированная эффективность, длительная батарея
жизнь |
|
Беспроводная зарядка CC |
Резонансная индуктивная связь и
Магнитный резонанс |
Методы, которые обеспечивают эффективную энергию
переносить на короткие расстояния без физических разъемов, теперь масштабируется
Для более крупных приложений, таких как EVS. |
Бесшовное, быстрое пополнение энергии для
Электромобили |
|
Нанотехнология |
Углеродные нанотрубки и графен |
Наноструктурированные материалы с исключительными
электрическая проводимость и площадь поверхности, включенные в батарею
электроды для сокращения времени зарядки и повышения долговечности. |
Быстрая зарядка, улучшенная батарея
долговечность |
|
Гибридные системы суперконденсатора |
Объединение суперконденсаторов для быстрого
Зарядка во время фазы CC с батареями для хранения высокого энергии. |
Высокая мощность и плотность энергии, быстро
Возможности зарядки |
|
|
Программное обеспечение и контроль |
ИИ и прогнозное моделирование |
Использует обширный анализ данных для определения
Оптимальные параметры зарядки, обучение на предыдущих циклах для уточнения зарядки
Профили и предотвращайте переоборудование и перегрев. |
Быстрее, безопаснее и эффективнее
зарядка |
|
IoT интеграция |
IoT-с поддержкой Chargers & Batteries |
Обеспечивает связь между зарядными устройствами,
батареи и централизованные системы для оптимизации графиков зарядки и мониторинга
Здоровье батареи в режиме реального времени. |
Экономия стоимости, балансировка нагрузки сетки,
мониторинг в реальном времени для долговечности батареи и надежности |
|
Регулирующие и стандартизация |
Усилия по регулированию и стандартизации |
Устанавливает руководящие принципы для безопасного и
эффективная реализация новых технологий зарядки CC, обеспечивающего
совместимость и безопасность в разных приложениях и производителях. |
Облегчает рыночную интеграцию, обеспечивает
безопасность и совместимость |
Гибридная CVCC (постоянное напряжение, постоянный ток) зарядка является современным способом зарядки батарей.Он использует как постоянное напряжение, так и методы постоянного тока, чтобы улучшить процесс зарядки.Основная цель гибридной зарядки CVCC состоит в том, чтобы батареи продержались дольше, безопасно заряжаться и эффективно работать.Этот метод полезен для электромобилей, потребительских гаджетов и хранения возобновляемой энергии.
Традиционная зарядка использует либо постоянное напряжение, либо постоянный ток на все время.В зарядке постоянного тока (CC) батарея получает устойчивый ток, пока не достигнет определенного напряжения.В зарядке постоянного напряжения (CV) батарея получает устойчивое напряжение, в то время как ток медленно уменьшается по мере заполнения батареи.Гибридная зарядка CVCC объединяет эти два способа решить свои проблемы и использовать свои сильные стороны.
Цель гибридной зарядки CVCC в три раза.Во -первых, он стремится сократить время зарядки, в то же время безопасно заполняя батарею до максимальной емкости.Это очень важно для таких вещей, как электромобили, которые нуждаются в быстрой зарядке, чтобы сократить время простоя.Во -вторых, это помогает аккумулятору дольше, избегая переоценки и перегрева, общие проблемы с традиционной зарядкой.Тщательно контролируя напряжение и ток, гибридная зарядка CVCC уменьшает износ на батареях.Наконец, этот метод повышает энергоэффективность, убедившись, что питание, доставленное в батарею, оптимизирована, уменьшая потерю энергии и обеспечивая более эффективное использование доступной мощности.

Рисунок 4: График зарядки CVCC
Метод зарядки гибридного постоянного напряжения/постоянного тока (CVCC) начинается с зарядки батареи высоким током.На этом этапе система зарядки обеспечивает постоянный, высокий ток для батареи независимо от его напряжения.Этот подход быстро заряжает батарею до уровня его емкости в течение короткого времени.Высокая токовая фаза требуется для быстрого приведения батареи в полезное состояние.
Когда батарея поглощает входящий ток, его напряжение поднимается.Система зарядки контролирует напряжение и ток батареи, чтобы гарантировать, что ограничения безопасности не превышают.Эта фаза эффективна для батарей, способных обрабатывать высокие входы тока без повреждения или чрезмерного тепла.Продолжительность этой фазы варьируется в зависимости от типа батареи и емкости, но направлена на то, чтобы быстро зарядить батарею до заданного уровня напряжения.
Поскольку напряжение батареи приближается к цели, система зарядки переходит на второй этап, где ток уменьшается.Как только аккумулятор достигает определенного порога напряжения, система уменьшает ток, сохраняя при этом постоянную напряжение.Это помогает предотвратить перегрузку и уменьшает напряжение на батареях.
Фаза перехода требует баланса между поддержанием постоянного напряжения и обеспечением того, чтобы ток оставался в безопасных уровнях.Система использует алгоритмы и механизмы обратной связи для контроля состояния батареи и регулировки тока.Цель состоит в том, чтобы привести батарею ближе к полной емкости, в то же время минимизируя риски из переоценки.Эта фаза тонко настраивает энергию, чтобы обеспечить оптимальную эффективность и безопасность зарядки.
На последнем этапе система зарядки поддерживает постоянное напряжение, позволяя току сунуть до нуля.Поскольку аккумулятор приближается к полному заряду, ток должен поддерживать постоянное уменьшение напряжения.Эта фаза гарантирует, что аккумулятор полностью заряжается без переоценки или повреждения.
Поддержание постоянного напряжения в этом этапе позволяет батарее безопасно и эффективно завершать свой зарядный цикл.Система зарядки продолжает следить за напряжением и током аккумулятора, делая регулировки в режиме реального времени, чтобы сохранить стабильную напряжение.Как только ток достигает минимального уровня или нуля, процесс зарядки завершен, а батарея полностью заряжена.
Эта последняя фаза максимизирует заряду батареи и готовность к использованию.Управляя напряжением и током на протяжении всего процесса, гибридный метод CVCC обеспечивает надежный и эффективный способ зарядки батарей, повышая производительность и продление срока службы.
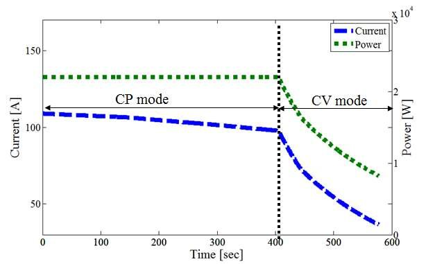
Постоянная зарядка мощности использует динамический подход.Он начинается с высокого тока, когда напряжение батареи низкое и уменьшает ток при увеличении напряжения.Этот метод адаптирует подачу питания на основе состояния батареи, максимизации эффективности зарядки и снижением напряжения батареи.
Постоянная зарядка мощности - это метод, используемый в основном для зарядки батарей, где входная мощность сохраняется постоянной на протяжении всего цикла зарядки.Мощность, определенная как скорость передачи энергии, рассчитывается путем умножения напряжения (v) и тока (i) (p = V x i).В этом методе, по мере увеличения напряжения батареи, ток регулируется, чтобы убедиться, что мощность остается постоянной.Этот подход оптимизирует начальные фазы, когда батарея может безопасно принимать более высокие скорости передачи энергии без перегрева или напряжения.

Рисунок 5: График постоянного тока в зависимости от постоянной зарядки мощности
Постоянная зарядка мощности отличается от более распространенных методов, таких как постоянный ток (CC) и зарядка постоянного напряжения (CV).При постоянной зарядке тока зарядное устройство дает устойчивый ток аккумулятору, даже по мере изменения напряжения.Сначала это хорошо работает, но становится менее эффективным, поскольку аккумулятор становится все более полным, может вызвать слишком большое напряжение и напрягать аккумулятор.
Постоянная зарядка напряжения устанавливает зарядное устройство на фиксированное напряжение, а ток уменьшается по мере заполнения батареи.Это помогает избежать перезагрузки и обеспечивает заряды аккумулятора полностью, не проходя через предел напряжения.
Постоянная зарядка мощности пытается объединить хорошие точки обоих методов.Он настраивает как ток, так и напряжение, чтобы устойчивый уровень мощности.Сначала это может быстро заряжать батарею, например, постоянный ток, а затем замедляться, когда напряжение батареи поднимается, например, постоянное напряжение.Этот метод помогает управлять нагрузкой на батарею, что делает его хорошим выбором для вещей, которые нуждаются в быстрой зарядке и длительном сроке автономной работы, таких как электромобили и устройства высокой емкости.
Постоянное напряжение постоянного мощности (CPCV) объединяет два метода: постоянное напряжение (CV) и постоянная мощность (CP).В режиме CV зарядное устройство сохраняет напряжение устойчивым, чтобы избежать перегрузки батареи, когда оно почти полное.В режиме CP, используемом в начале, зарядное устройство обеспечивает мощность с постоянной скоростью для быстрой зарядки, управляя теплом и напряжением батареи.
Этот метод начинается с постоянной мощности, чтобы быстро доставлять энергию в высоких токах, когда напряжение батареи низкое.Поскольку батарея приближается к полному заряду, она переходит к постоянной зарядке напряжения, чтобы уточнить процесс и предотвратить перенапряжение.Эта стратегия эффективна для быстрого зарядки батарей до значительной мощности, прежде чем оптимизировать конечные этапы зарядки, обеспечивая эффективность и безопасность.
CPCV работает с различными типами батарей, такими как литий-ион, которые нуждаются в тщательной зарядке.Система переключается между CP и CV на основе уровня заряда батареи и других факторов.

Рисунок 6: График зарядки постоянного напряжения постоянного напряжения (CPCV)
Зарядка CPCV (постоянное постоянное напряжение) полезно для литий-ионных (литий-ион) и литий-полимерных (липо) батарей.Эти типы аккумуляторов распространены в современных высокотехнологичных устройствах.Зарядка CPCV начинается с постоянной фазы питания, где батарея быстро поглощает много энергии, не слишком рано не достигая высоких уровней напряжения.Как только батарея достигает определенного напряжения, зарядка переходит к фазе постоянного напряжения, сохраняя стабильное напряжение для безопасного завершения процесса зарядки, не напрягая или перегревая аккумулятор.
• Смартфоны и планшеты: эти гаджеты нуждаются в быстрой и эффективной зарядке для повышения времени и производительности батареи.
• Ноутбуки: Подобно смартфонам, ноутбуки выигрывают от быстрой, но безопасной зарядки, помогает поддерживать здоровье батареи для продолжительного использования на батарее.
• Электрические транспортные средства (EV): EV имеют большие аккумуляторы, которые выигрывают от зарядки CPCV.Метод быстро заряжает батарею до высокого уровня перед переходом на постоянное напряжение, чтобы безопасно завершить процесс.
• Электроинструменты: батареи с высокой емкостью в электроинструментах могут быть быстро и безопасно заряжать с помощью CPCV, сокращать время простоя и обеспечить готовые инструменты для использования.
Импульсная зарядка - это метод, используемый для зарядки батареев путем применения всплесков высокого тока, за которыми следуют периоды отдыха без тока или краткого разряда.В отличие от традиционных методов, которые используют постоянный поток тока, импульсная зарядка включает циклы зарядки и отдыха.Этот метод направлен на воспроизведение процессов естественной зарядки, обнаруженных в биологических системах, оптимизируя баланс между входом энергии и химической стабильностью батареи.
Этот метод может быть адаптирован для различных типов аккумуляторов, таких как свинцово-кислотный, никель-кадмий (NICD), гидрид-никель-металл (NIMH) и литий-ионные батареи.Каждый тип может потребовать уникальных конфигураций импульсов, включая изменения в прочности импульса, продолжительности и периодах отдыха.
Импульсная зарядка одним большим преимуществом является то, что он уменьшает образование дендритов в литий-ионных батареях.Дендриты-это игольчащими конструкциями, которые могут образовываться во время зарядки, и вызывать короткие цирки, снижая срок службы батареи и безопасность.Остановка и стартовая природа зарядки импульса помогает контролировать, как литиевые отложения на электродах, снижая риск формирования дендритов.
Импульсная зарядка может улучшить производительность батареи и срок службы за счет сокращения тепла во время зарядки.Это помогает сохранить батарею при правильной температуре, сохраняет его емкость и продлевает свою жизнь.Это важно для батарей высокой емкости в электромобилях и портативном электронном устройстве.
Импульсная зарядка также может ускорить процесс зарядки без повреждения аккумулятора.Это обеспечивает более быстрое восстановление энергии по сравнению с непрерывной зарядкой тока и полезным для приложений, которые требуют быстрого времени перезарядки, таких как аварийные энергосистемы или во время коротких автомобильных остановок.

Рисунок 7: Импульсная зарядка литий -ионной батареи
Зарядка импульса является расширенным методом зарядки аккумуляторов, который направлен на повышение эффективности и срока службы перезаряжаемых батарей, таких как никель-кадмий (NICD), никель-метал-гидрид (NIMH) и литий-ионные (Li-ION) клетки.В отличие от традиционной непрерывной зарядки постоянного тока (DC), зарядка импульса обеспечивает заряд в кратких контролируемых всплесках или импульсах.Этот метод оптимизирует процесс зарядки и решает общие проблемы с аккумулятором, такие как перегрев и «эффект памяти» в NICD -батареях.
Импульсная зарядка работает, периодически применяя более высокий ток к аккумулятору в течение короткого периода, за которым следует период отдыха без тока.Эти импульсы уменьшают общее тепловое напряжение на аккумуляторе, позволяя тепло рассеиваться в течение периодов отдыха, сводя к минимуму повышение температуры и потенциальные повреждения.
Импульсные зарядные устройства используют два основных типа импульсов:
• Зарядные импульсы: импульсы высокого тока, которые быстро заряжают аккумулятор.Амплитуда, продолжительность и частота этих импульсов варьируются в зависимости от типа батареи и состояния.
• Разрядные импульсы. Иногда вкрапление импульсов заряда, они помогают разрушать электролит аккумулятора и уменьшать эффект памяти в NICD -батареях.
Зарядное устройство контролирует продолжительность зарядных импульсов и интервалы между ними, используя механизмы обратной связи, которые контролируют параметры батареи, такие как напряжение и температура.Эта обратная связь позволяет зарядному устройству регулировать процесс зарядки, улучшая принятие заряда батареи и общее состояние здоровья.
Зарядка Stickle - это техника, используемая для поддержания полностью заряженной батареи, избегая перезарядки.Он работает, доставляя небольшой, постоянный поток электричества в аккумулятор, соответствующую его естественной скорости самодействия.Этот метод полезен для устройств, которые не используются часто, гарантируя, что они остаются заряженными и готовыми, не нанося вреда здоровью батареи.
Этот процесс применяется минимальный, непрерывный ток, идеально подходящий для поддержания заряда батареи в течение длительных периодов времени.Медленный уровень заряда сохраняет аккумуляторную и готовую к использованию, даже при полной зарядке.Несмотря на то, что он полезен для резервных батарей, это не рекомендуется для NIMH и литий-ионных батарей, поскольку они могут быть повреждены за счет длительной зарядки низкого уровня.
Основная цель зарядки струйки - сохранить батарею под оптимальной зарядкой на неопределенный срок.Процесс зарядки струйки включает в себя тщательно регулирование электрического тока, поступающего в батарею.Зарядное устройство сначала проверяет напряжение батареи, чтобы решить, какой ток предоставить.Если напряжение ниже цели, зарядное устройство поставляет более высокий ток, чтобы перезарядить его.Как только целевое напряжение достигнуто, зарядное устройство переключается на более низкий устойчивый ток, который соответствует скорости саморазрядки батареи.Этот подход держит батарею полностью заряженной без риска перезарядки, расширяя свою жизнь и производительность.

Рисунок 8: Зарядка батареи струйки
Ведущие батареи: подходящие как плавание, так и зарядку с импульсом.Зарядка плавания часто предпочтительнее для стационарных видов использования, таких как аварийные системы.
Батареи никеля-кадмия: эти батареи могут использовать как импульс, так и плавучий зарядку, полезные при перезарядке.
Литий-ионные батареи: они не подходят для зарядки или плавания из-за их чувствительности к перезарядке.Импульсная зарядка с контролируемыми всплесками и соответствующими схемами лучше подходит для защиты и поддержания литий-ионных батарей.
Зарядка многоэтапного постоянного тока (MCC) является расширенной техникой для зарядки батареи, особенно литий-ионных и свинцово-кислотных батарей.Этот метод включает в себя отдельные этапы зарядки постоянного тока, каждый из которых адаптирован к различным фазам цикла заряда батареи.Основная цель зарядки MCC - улучшить здоровье батареи и долговечность путем настройки течения, доставленного на различных этапах процесса зарядки.
На первом этапе более высокий постоянный ток применяется для быстрого зарядки батареи до части его емкости.Этот этап, известный как объемная зарядка, эффективно увеличивает уровень заряда батареи.
По мере того, как батарея достигает определенных порогов напряжения, система зарядки смещается на стадии с более низкими токами.Эти этапы обеспечивают более тонкий контроль, предотвращая перегрузку и снижение напряжения на батареи.Эта тщательная модуляция помогает поддерживать срок службы батареи и эффективность.

Рисунок 9: График зарядки многоэтапного постоянного тока (MCC)
|
Аспект |
Зарядка MCC |
|
Батарея
Здоровье |
Минимизирует стресс во время зарядки |
|
Текущий
Корректирование |
Регулирует в зависимости от уровня заряда батареи |
|
Перегрев
Профилактика |
Уменьшает ток при увеличении заряда до
предотвратить перегрев |
|
Батарея
Долговечность |
Увеличение общего здоровья и долговечности |
|
Температура
Управление |
Сохраняет температуру в рамках оптимальных диапазонов |
|
Напряжение
Управление |
Предотвращает чрезмерное напряжение напряжения |
|
Эффективность |
Заряды быстро не жертвуют
безопасность |
|
Емкость
и стабильность |
Поддерживает более высокую емкость и стабильность
за срок службы |
|
Приложение
Пригодность |
Подходит для различных приложений
(Электроника, транспортные средства) |
Зарядка тока конуса, полученная из метода постоянного напряжения, уменьшает ток зарядки по мере увеличения напряжения батареи.Этот более простой метод требует тщательного мониторинга, чтобы предотвратить перегрузку, особенно в герметичных свинцовых аккумуляторах, чтобы избежать деградации или отказа.
Когда аккумулятор заряжается, его внутреннее сопротивление увеличивается и может привести к более высоким температурам и возможным повреждениям, если начальный ток высокой зарядки сохраняется таким же.Сокращая ток, зарядное устройство гарантирует, что аккумулятор становится менее током, поскольку он больше заряжается, снижая риск перегрева и продления срока службы батареи.
По сравнению с другими методами зарядки батареи зарядка тока конуса является проще и часто безопаснее.Он отличается от более сложных методов, таких как зарядка импульса или постоянное ток/постоянное напряжение (CC/CV) зарядка, используемая для литий-ионных батарей.Эти методы могут заряжать батареи быстрее и эффективнее, но нуждаются в более продвинутых системах для безопасного контроля процесса зарядки.
Также известный как рефлекторный или отрицательный импульсный зарядка, зарядка Burp включает в себя краткие импульсы с выпискими во время зарядки.Зарядка Burp-это метод, используемый для повышения долговечности и эффективности батарей на основе никеля, таких как никель-кадмий (NICD) и батареи никель-металла (NIMH).Этот метод включает в себя краткое прерывание процесса зарядки с помощью коротких импульсов.Эти краткие разряды высвобождают пузырьки газа, которые накапливаются в батарейных ячеек во время нормальной зарядки.Этот релиз, часто называемый «отрыжка», предотвращает накопление давления и уменьшает эффект памяти, условие, которое может уменьшить емкость батареи и продолжительность жизни, если он многократно перезаряжается без полного разряда.

Рисунок 10: Диаграмма зарядки отрыжки
Вот как это работает и почему это полезно:
При зарядке эти батареи могут образовывать газовые пузырьки на своих электродах, блокируя поток электричества.Зарядка Burp включает в себя короткие разряды или «отрыжки», которые помогают всплыть эти пузырьки, сохраняя плавное протекание электричества.
Краткие разряды помогают сохранить внутреннюю среду стабильной батареи.Снижение наращивания газа и внутреннего давления, зарядка Burp обеспечивает более равномерное распределение заряда в батарее.
Зарядка Burp снижает риск перезарядки и перегрева, общие проблемы с традиционными методами зарядки.Это делает процесс зарядки быстрее и обеспечивает заряду батареи в полной мере и равномерно.
Предотвращая наращивание газа и перегрев, зарядка Burp помогает поддерживать внутренние компоненты батареи.Это приводит к более длительному сроку службы для батареи.
Зарядка IUI-это современный метод для быстрой зарядки стандартных затопленных свинцовых аккумуляторов.Он включает в себя три фазы: начальная фаза постоянного тока до тех пор, пока не будет достигнуто установленное напряжение, постоянная фаза напряжения, когда ток уменьшается до другого заданного уровня, и окончательный возврат к постоянному току.Этот подход обеспечивает даже зарядку во всех клетках, максимизируя производительность и продолжительность жизни.
Метод зарядки IUI полезен для стандартных затопленных свинцовых аккумуляторов, поскольку он обеспечивает даже зарядку во всех ячеек, что для поддержания оптимальной производительности и продления общего срока службы батареи.IUI зарядка управляет током и напряжением, чтобы предотвратить перегрузку или недостаточную заряду, снижая риск отказа аккумулятора.Это также сокращает время зарядки, что делает его эффективным и практичным для многих применений.

Рисунок 11: Диаграмма зарядки IUI
Зарядка плавания-это техника, используемая в основном с свинцово-кислотными батареями в аварийных энергосистемах.Этот метод включает в себя подключение батареи и нагрузку к источнику постоянного напряжения.Напряжение сохраняется чуть ниже максимальной емкости аккумулятора.Этот тщательный контроль напряжения предотвращает перегрузку и гарантирует, что батарея всегда готова к использованию.
Практически, зарядка плавания держит батарею полностью готовой без риска перезарядки.Источник постоянного напряжения компенсирует естественный самодислят батареи, сохраняя его заряд на оптимальном уровне.Этот метод очень полезен для систем, где аккумулятор должен быть готов в любой момент, например, непрерывные источники питания (UPS), аварийное освещение и резервные генераторы.
Использование плавающей зарядки помогает поддерживать надежность батареи, убедившись, что она может обеспечить мощность при необходимости.Это также снижает необходимость в частого обслуживания и мониторинга, что делает его практическим и эффективным способом поддерживать аварийные энергосистемы.

Рисунок 12: Диаграмма зарядки плавания
Случайная зарядка - это метод, используемый, когда источник питания ненадежна или сильно изменяется.Это часто случается в таких ситуациях, как транспортные средства с изменением скорости двигателя или солнечными батареями, затронутыми погодой.
В транспортных средствах скорость двигателя может сильно различаться, вызывая нерегулярные выходы, которые затрудняют правильную зарядку батареи.Точно так же солнечные батареи производят электричество на основе солнечного света и могут быстро измениться из -за облаков или времени суток.Эти изменения могут привести к тому, что батареи не обращаются правильно.
Чтобы решить эти проблемы, случайная зарядка использует специальные методы для управления условиями зарядки переменной.К ним относятся расширенные алгоритмы и системы интеллектуальной зарядки, которые в режиме реального времени корректируют изменения питания.При непрерывном мониторинге входной мощности и адаптации процесса зарядки эти системы защищают батарею от повреждения, вызванного колеблющейся мощностью.
Случайная зарядка также гарантирует, что батарея работает хорошо и длится дольше, даже с непоследовательным источником питания.Это предотвращает перезарядку во время скачков питания и гарантирует, что зарядка достаточно зарядки во время капель у власти.

Рисунок 13: График для случайной зарядки
Изучение различных способов зарядки батарей показывает, насколько важно улучшить технологию батареи для удовлетворения растущих потребностей современных устройств и систем.Основные методы, такие как постоянное напряжение и постоянный ток, а также более продвинутые методы, такие как гибридный CVCC и постоянная зарядка мощности, каждый имеет свои собственные преимущества и лучше всего подходит для конкретных типов батарей и использования.Прогресс в материалах для электродов, систем управления аккумуляторами и использования интеллектуальных технологий важна для того, чтобы аккумуляторы работали лучше и безопаснее.Будущее зарядки аккумулятора зависит от разработки и использования этих технологий, чтобы гарантировать, что они являются устойчивыми, эффективными и надежными.
Медленная зарядка: этот метод использует стандартную мощность переменного тока (переменного тока), обнаруженную в жилых настройках.Зарядные устройства работают на более низких уровнях мощности (до 3 кВт), что делает его подходящим для зарядки на ночь.
Быстрая зарядка: быстрые зарядные устройства используют более высокие уровни мощности переменного тока (до 22 кВт) и находятся на общественных зарядных станциях.Они могут зарядить электромобиль (EV) аккумулятор быстрее, чем медленные зарядные устройства, обычно в течение нескольких часов.
Быстрая зарядка: это самые быстрые зарядные устройства, использующие мощность DC (постоянный ток).Они могут увеличить большую часть емкости аккумулятора электромобиля менее чем за час.Уровни мощности начинаются с 50 кВт и могут подняться до 350 кВт для самых передовых систем.
В зарядку в минуту: эта структура ценообразования взимает с пользователей в зависимости от количества времени, связанного с зарядным устройством, независимо от количества потребляемого электроэнергии.
За зарядку в километрах: это модель ценообразования на основе использования, где пользователи выставляются на основе электроэнергии, потребляемой их автомобилем в киловатт-часах.Этот метод считается более справедливым, поскольку он напрямую коррелирует с используемой энергией.
Зарядка фиксированной ставки: некоторые зарядные станции предлагают фиксированную ставку для указанного окна зарядки, например, час или день, и может быть полезным для более длительных остановок.
Зарядка режима 1: Это самая простая форма зарядки электромобилей, где транспортное средство подключено непосредственно к стандартной домашней электрической розетке без какого -либо специального оборудования.Он медленно и используется для небольших транспортных средств или зарядки на ночь.
Зарядка режима 2: этот режим также включает зарядку от стандартной электрической розетки, но включает в себя кабель со встроенным устройством защиты.Это устройство защищает от ударов электрическим током и других потенциальных электрических опасностей, что делает его более безопасным, чем режим 1 и более универсальным.
Избегайте экстремальной зарядки: не заряжайте аккумулятор до 100% и не дайте ей стечь до 0%.Держите заряд от 20% до 80%.
Температура управления: батареи работают лучше всего при умеренных температурах.Избегайте обнаружения аккумулятора для экстремального холода или тепла.
Используйте зарядные устройства с режиссером-производителем: всегда используйте зарядное оборудование, рекомендованное производителем транспортных средств, чтобы избежать повреждения аккумулятора.
Регулярное использование и обслуживание: регулярное использование и своевременное обслуживание помогают в поддержании здоровья аккумуляторов.Длительные периоды бездействия могут ухудшить производительность батареи.
Скорость зарядки: быстрая зарядка удобна, но может подчеркнуть батарею.Медленная или умеренная скорость зарядки предпочтительнее ежедневного использования для продления срока службы батареи.
Управление температурой: зарядка в контролируемой среде, где температура умеренная, помогает сохранить здоровье и эффективность батареи.
Диапазон зарядки: поддержание состояния заряда батареи от 20% до 80% во время регулярного использования может повлиять на его долговечность и производительность.
Пожалуйста, отправьте запрос, мы ответим немедленно.
на 2025/11/3
на 2025/10/31
на 8000/04/18 147758
на 2000/04/18 111946
на 1600/04/18 111349
на 0400/04/18 83722
на 1970/01/1 79508
на 1970/01/1 66916
на 1970/01/1 63072
на 1970/01/1 63012
на 1970/01/1 54081
на 1970/01/1 52142